精英家教网 > 高中数学 > 题目详情
已知定义域为R的函数f(x)=是奇函数.
(1)求f(x);
(2)是否存在最大的常数k,对于任意x实数都有f(x)>k,求出k;若不存在,说明理由.
(3)若对任意的t∈R,不等式f(t2-2t)+f(2t2-k)<0恒成立,求k的取值范围.
【答案】分析:先利用函数是奇函数,求出参数a,b的值.
利用函数的奇偶性和单调性求出k.
利用函数的单调性得到f(t2-2t)+f(2t2-k)<0的等价命题,再利用不等式恒成立的条件,解出k即可.
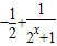
解答:解  (1)因为f(x)是R上的奇函数,所以f(0)=0,即,解得b=1
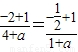
从而有
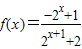
又由f(1)=-f(-1)知,解得a=2…..(4分)
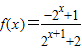
(2)由(1)知=
由上式易知f(x)在R上为减函数,,所以k=-.….(8分)
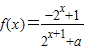
(3)解法一:由(1)知=
由上式易知f(x)在R上为减函数,
又因f(x)是奇函数,从而不等式
f(t2-2t)+f(2t2-k)<0等价于f(t2-2t)<-f(2t2-k)=f(-2t2+k)
因f(x)是R上的减函数,由上式推得t2-2t>-2t2+k
即对一切t∈R有3t2-2t-k>0
从而△=4+12k<0,解得     ….(13分)
点评:本题主要考查函数的奇偶性和单调性的应用,以及指数函数的性质.
练习册系列答案
相关习题

科目:高中数学 来源: 题型:

(2010•石家庄二模)已知定义域为R的函数f(x)在(1,+∞)上为减函数,且函数y=f(x+1)为偶函数,则(  )

查看答案和解析>>

科目:高中数学 来源: 题型:

已知定义域为R的函数f(x)满足f(x)f(x+2)=5,若f(2)=3,则f(2012)=
5
3
5
3

查看答案和解析>>

科目:高中数学 来源: 题型:

已知定义域为R的函数f(x)在(4,+∞)上为减函数,且函数y=f(x)的对称轴为x=4,则(  )

查看答案和解析>>

科目:高中数学 来源: 题型:

已知定义域为R的函数f(x)=
-2x+a2x+1
是奇函数
(1)求a值;
(2)判断并证明该函数在定义域R上的单调性;
(3)若对任意的t∈R,不等式f(t2-2t)+f(2t2-k)<0恒成立,求实数k的取值范围;
(4)设关于x的函数F(x)=f(4x-b)+f(-2x+1)有零点,求实数b的取值范围.

查看答案和解析>>

科目:高中数学 来源: 题型:

已知定义域为R的函数f(x)满足f(4-x)=-f(x),当x<2时,f(x)单调递减,如果x1+x2>4且(x1-2)(x2-2)<0,则f(x1)+f(x2)的值(  )

查看答案和解析>>

同步练习册答案