精英家教网 > 高中数学 > 题目详情
由直线,x=2,曲线及x轴所围图形的面积为( )
A.
B.
C.
D.2ln2
【答案】分析:由题意画出图形,再利用定积分即可求得.
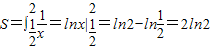
解答:解:如图,面积
故选D.
点评:本题主要考查定积分求面积.
练习册系列答案
相关习题

科目:高中数学 来源: 题型:

求由直线y=x-2和曲线y=-x2所围成的图形的面积.

查看答案和解析>>

科目:高中数学 来源: 题型:

由直线y=x-2,曲线y=
x
以及x轴所围成的图形的面积为
10
3
10
3

查看答案和解析>>

科目:高中数学 来源: 题型:

由直线,x=2,曲线及x轴所围图形的面积是(    )

A.                   B.                   C.                            D.

查看答案和解析>>

科目:高中数学 来源:2012-2013学年甘肃省高三9月第一次阶段性达标考试理科数学试卷(解析版) 题型:选择题

.由直线,x=2,曲线及x轴所围图形的面积为(   )

A.           B.         C.            D. 

 

查看答案和解析>>

科目:高中数学 来源:2011-2012学年云南省高三11月月考理科数学 题型:选择题

由直线,x=2,曲线及x轴所围图形的面积为(   )

A.          B.    C.       D.

 

查看答案和解析>>

同步练习册答案