精英家教网 > 高中数学 > 题目详情
在数列{an}中,a1=1,an+1=2an+2n
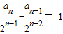
(Ⅰ)设bn=.证明:数列{bn}是等差数列;
(Ⅱ)求数列{an}的前n项和Sn
【答案】分析:(1)由an+1=2an+2n构造可得即数列{bn}为等差数列
(2)由(1)可求=n,从而可得an=n•2n-1 利用错位相减求数列{an}的和
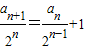
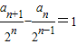
解答:解:由an+1=2an+2n.两边同除以2n
,即bn+1-bn=1
∴{bn}以1为首项,1为公差的等差数列
(2)由(1)得
∴an=n•2n-1
Sn=2+2×21+3×22+…+n•2n-1
2Sn=21+2×22+…+(n-1)•2n-1+n•2n
∴-Sn=2+21+22+…+2n-1-n•2n
=
∴Sn=(n-1)•2n+1
点评:本题考查利用构造法构造特殊的等差等比数列及错位相减求数列的和,构造法求数列的通项及错位相减求数列的和是数列部分的重点及热点,要注意该方法的掌握.
练习册系列答案
相关习题

科目:高中数学 来源: 题型:

在数列{an}中,
a
 
1
=1
an=
1
2
an-1+1
(n≥2),则数列{an}的通项公式为an=
2-21-n
2-21-n

查看答案和解析>>

科目:高中数学 来源: 题型:

在数列{an}中,a 1=
1
3
,并且对任意n∈N*,n≥2都有an•an-1=an-1-an成立,令bn=
1
an
(n∈N*).
(Ⅰ)求数列{bn}的通项公式;
(Ⅱ)设数列{
an
n
}的前n项和为Tn,证明:
1
3
Tn
3
4

查看答案和解析>>

科目:高中数学 来源: 题型:

在数列{an}中,a=
12
,前n项和Sn=n2an,求an+1

查看答案和解析>>

科目:高中数学 来源: 题型:

在数列{an}中,a1=a,前n项和Sn构成公比为q的等比数列,________________.

(先在横线上填上一个结论,然后再解答)

查看答案和解析>>

科目:高中数学 来源:2012-2013学年广东省汕尾市陆丰市碣石中学高三(上)第四次月考数学试卷(理科)(解析版) 题型:解答题

在数列{an}中,a,并且对任意n∈N*,n≥2都有an•an-1=an-1-an成立,令bn=(n∈N*).
(Ⅰ)求数列{bn}的通项公式;
(Ⅱ)设数列{}的前n项和为Tn,证明:

查看答案和解析>>

同步练习册答案