精英家教网 > 高中数学 > 题目详情
数列{an}为等比数列,Sn为其前n项和.已知a1=1,q=3,St=364,则at=   
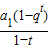
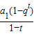
【答案】分析:由题意可得St===364,解之可得t=6,代入等比数列的通项公式可得答案.
解答:解:由题意可得St===364,
化简可得3t=729,解之可得t=6,
故at=a6=1×35=243
故答案为:243
点评:本题考查等比数列的前n项和公式,属基础题.
练习册系列答案
相关习题

科目:高中数学 来源: 题型:

设{an}为等比数例,Tn=na1+(n-1)a2…+2an-1+an,已知T1=1,T2=4,
(1)求数列{an}的首项和公比;
(2)求数列{Tn}的通项公式.

查看答案和解析>>

科目:高中数学 来源:2012年人教B版高中数学必修5 2.3等比数列练习卷(解析版) 题型:选择题

已知数列{an}的前n项和为Sn=b×2n+a(a0,b0),若数列{an}是等比数例,则a、b应满足的条件为(   )

(A)a-b=0   (B)a-b0   (C)a+b=0   (D)a+b0

 

查看答案和解析>>

科目:高中数学 来源:2012-2013学年贵州省遵义四中高三(上)第二次月考数学试卷(文科)(解析版) 题型:解答题

设{an}为等比数例,Tn=na1+(n-1)a2…+2an-1+an,已知T1=1,T2=4,
(1)求数列{an}的首项和公比;
(2)求数列{Tn}的通项公式.

查看答案和解析>>

科目:高中数学 来源:2011年高三数学复习(第6章 数列):6.3 等差数列、等比数列(二)(解析版) 题型:解答题

设{an}为等比数例,Tn=na1+(n-1)a2…+2an-1+an,已知T1=1,T2=4,
(1)求数列{an}的首项和公比;
(2)求数列{Tn}的通项公式.

查看答案和解析>>

科目:高中数学 来源:2000年广东省高考数学试卷(解析版) 题型:解答题

设{an}为等比数例,Tn=na1+(n-1)a2…+2an-1+an,已知T1=1,T2=4,
(1)求数列{an}的首项和公比;
(2)求数列{Tn}的通项公式.

查看答案和解析>>

同步练习册答案