【答案】
分析:(1)求出双曲线的焦点,由此设出椭圆方程,把点(

,0)代入椭圆方程,求出待定系数即得所求的椭圆方程.
(2)设斜率为2的弦所在直线的方程为y=2x+b,弦的中点坐标为(x,y),把y=2x+b 代入椭圆的方程,利用一元二次方程根与系数的关系,求出轨迹方程为y=-

x,求出直线y=2x+b 和椭圆相切时的b值,即得轨迹方程中自变量x
的范围.
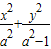
解答:解:(1)依题意得,将双曲线方程标准化为

=1,则c=1.
∵椭圆与双曲线共焦点,∴设椭圆方程为

=1,∵椭圆过(

,0),
∴

=2,∴椭圆方程为

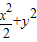
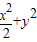
=1.
(2)依题意,设斜率为2的弦所在直线的方程为y=2x+b,弦的中点坐标为(x,y),则
y=2x+b 且

=1得,9x
2+8xb+2b
2-2=0,∴x
1+x
2=-

.
即x=-

两式消掉b得 y=-

x.
令△=0,64b
2-36(2b
2-2)=0,即b=±3,所以斜率为2且与椭圆相切的直线方程为y=2x±3
即当x=±

时斜率为2的直线与椭圆相切.
所以平行弦得中点轨迹方程为:y=-

x(-

).
点评:本题考查用待定系数法求椭圆的标准方程,以及简单性质的应用;求点的轨迹方程的方法,求轨迹方程中自变量x的范围,是解题的易错点.