精英家教网 > 高中数学 > 题目详情
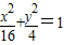
椭圆,则其焦距为( )
A.2
B.2
C.4
D.4
【答案】分析:先由条件把椭圆经过的点的坐标代入椭圆的方程,即可求出待定系数m,从而得到椭圆的标准方程,再根据椭圆的a,b,c之间的关系即可求出焦距2c.
解答:解:由题意知,把点(-2,)代入椭圆的方程可求得 b2=4,
故椭圆的方程为 
∴a=4,b=2,
c===2,则其焦距为4
故选D.
点评:本题考查用待定系数法求椭圆的标准方程,以及椭圆方程中a、b、c之间的关系.
练习册系列答案
相关习题

科目:高中数学 来源: 题型:

椭圆
x2
16
+
y2
b2
=1
(-2,
3
)
,则其焦距为(  )

查看答案和解析>>

科目:高中数学 来源: 题型:

已知椭圆
x2
a2
+
y2
b2
=1(a>b>0),A(2,0)为长轴的一个端点,弦BC过椭圆的中心O,且
AC
BC
=0,|
OC
-
OB
|
=2|
BC
-
BA
|
,,则其焦距为(  )

查看答案和解析>>

科目:高中数学 来源: 题型:

若椭圆过点(-2,),则其焦距为(  )

A.2             B.2            C. 4             D. 4 

查看答案和解析>>

科目:高中数学 来源:《2.1 椭圆》2013年同步练习(青州二中)(解析版) 题型:选择题

椭圆,则其焦距为( )
A.2
B.2
C.4
D.4

查看答案和解析>>

同步练习册答案