精英家教网 > 高中数学 > 题目详情
设直线l的方程为(a+1)x+y+2-a=0(a∈R).
(1)若l在两坐标轴上的截距相等,求l的方程;
(2)若l不经过第二象限,求实数a的取值范围.
【答案】分析:(1)先求出直线l在两坐标轴上的截距,再利用 l在两坐标轴上的截距相等 建立方程,解方程求出a的值,从而得到所求的直线l方程.
(2)把直线l的方程可化为 y=-(a+1)x+a-2,由题意得 ,解不等式组求得a的范围.
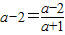
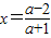
解答:解:(1)令x=0,得y=a-2.  令y=0,得(a≠-1).
∵l在两坐标轴上的截距相等,∴,解之,得a=2或a=0.
∴所求的直线l方程为3x+y=0或x+y+2=0.
(2)直线l的方程可化为 y=-(a+1)x+a-2.∵l不过第二象限,
,∴a≤-1.∴a的取值范围为(-∞,-1].
点评:本题考查直线在坐标轴上的截距的定义,用待定系数法求直线的方程,以及确定直线位置的几何要素.
练习册系列答案
相关习题

科目:高中数学 来源: 题型:

设直线l的方程为(a+1)x+y-2-a=0(x∈R).
(1)若直线l在两坐标轴上的截距相等,求直线l的方程;
(2)若a>-1,直线l与x轴、y轴分别交于M、N两点,求△OMN的面积取得最小值时,直线l的方程.

查看答案和解析>>

科目:高中数学 来源: 题型:

设直线l的方程为(a+1)x+y+2-a=0(a∈R).
(1)若l在两坐标轴上的截距相等,求l的方程;
(2)若l不经过第二象限,求实数a的取值范围.

查看答案和解析>>

科目:高中数学 来源: 题型:

(Ⅰ)已知△ABC的三个顶点坐标为A(0,5)、B(1,-2)、C(-6,4),求BC边上的高所在直线的方程;
(Ⅱ)设直线l的方程为 (a-1)x+y-2-a=0(a∈R).若直线l在两坐标轴上的截距相等,求直线l的方程.

查看答案和解析>>

科目:高中数学 来源: 题型:

设直线l的方程为(a+1)x+y+2-a=0(a∈R)
(1)若直线l在两坐标轴上的截距相等,则直线l的方程是
3x+y=0或x+y+2=0
3x+y=0或x+y+2=0

(2)若直线l不经过第二象限,则实数a的取值范围是
(-∞,-1]
(-∞,-1]

查看答案和解析>>

科目:高中数学 来源: 题型:

设直线l的方程为(a+1)x+y+2-a=0(a∈R),若直线l不经过第二象限,则实数a的取值范围
(-∞,-1]
(-∞,-1]

查看答案和解析>>

同步练习册答案