【答案】
分析:(1)由题意先对函数y进行求导,解出极值点,然后再根据函数的定义域,把极值点代入已知函数,比较函数值的大小,从而解出单调区间;
(2)构造函数h(x)=g(x)+

,对其求导,求出h(x)的最小值大于0,就可以了.
(3)存在性问题,先假设存在,看是否能解出a值.
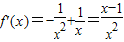
解答:解:(1)∵当a=1时,

,∴

,(1分)
∴当0<x<1时,f'(x)<0,此时f(x)单调递减
当1<x<e时,f'(x)>0,此时f(x)单调递增,(3分)
∴f(x)的单调递减区间为(0,1);单调递增区间为(1,e);
f(x)的极小值为f(1)=1.(4分)
(2)由(1)知f(x)在(0,e]上的最小值为1,(5分)
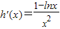
令h(x)=g(x)+

,x∈(0,e]∴

,(6分)
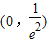
当0<x<e时,h′(x)>0,h(x)在(0,e]上单调递增,(7分)
∴

,
∴在(1)的条件下,f(x)>g(x)+

,(8分)
(3)假设存在实数a,使

,(x∈(0,e])有最小值-1,
∴

,(9分)
①当a≤0时,
∵0<x≤e,
∴f'(x)>0,
∴f(x)在(0,e]上单调递增,此时f(x)无最小值.(10分)
②当0<a<e时,
若0<x<a,则f'(x)<0,故f(x)在(0,a)上单调递减,
若a<x<e,则f'(x)>0,故f(x)在(a,e]上单调递增.

,,得

,满足条件.(12分)
3当a≥e4时,∵0<x<e,
∴f'(x)<0,
∴f(x)在(0,e]上单调递减,

(舍去),所以,此时无解.(13分)
综上,存在实数

,使得当x∈(0,e]时f(x)的最小值是-1.(14分)
(3)法二:假设存在实数a,使

,x∈(0,e])的最小值是-1,
故原问题等价于:不等式

,对x∈(0,e]恒成立,求“等号”取得时实数a的值.
即不等式a≥-x(1+lnx),对x∈(0,e]恒成立,求“等号”取得时实数a的值.
设g(x)=-x(1+lnx),即a=g(x)
max,x∈(0,e](10分)
又

(11分)
令

当

,g'(x)>0,则g(x)在

单调递增;
当

,g'(x)<0,则g(x)在

单调递减,(13分)
故当

时,g(x)取得最大值,其值是

故

.
综上,存在实数

,使得当x∈(0,e]时f(x)的最小值是-1.(14分)
点评:此题是一道综合题,主要还是考查导数的定义及利用导数来求区间函数的最值,利用导数研究函数的单调性和极值、解不等式等基础知识,考查综合分析和解决问题的能力,解题的关键是求导要精确.