精英家教网 > 高中数学 > 题目详情
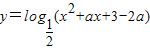
已知函数在(1,+∞)上单调递减,则a的取值范围是   
【答案】分析:利用复合函数的单调性确定a的取值范围.
解答:解:设t=g(x)=x2+ax+3-2a,则y=在定义域上为减函数,
所以要使函数函数在(1,+∞)上单调递减,
则根据复合函数的单调性可知t=x2+ax+3-2a,在(1,+∞)上单调递增,
且t=g(1)≥0恒成立.
,解得,所以-2≤a≤4.
故答案为:[-2,4].
点评:本题主要考查复合函数的单调性的应用,要求熟练掌握函数单调性的判断原则,“同增异减”.
练习册系列答案
相关习题

科目:高中数学 来源: 题型:

已知函数在[1,2]上的最小值为1,最大值为2,求的解析式.

查看答案和解析>>

科目:高中数学 来源: 题型:

(12分)已知函数在区间[-1,1]上与x轴有且只有一个交点,求:实数的取值范围。

查看答案和解析>>

科目:高中数学 来源:2012-2013学年福建省三明市尤溪一中高三(上)第一次月考数学试卷(文科)(解析版) 题型:解答题

已知函数在x=1处取得极值2.
(Ⅰ)求函数f(x)的解析式;
(Ⅱ)若函数f(x)在区间(t,2t+1)上是单调函数,求实数t的取值范围;
(Ⅲ)设函数g(x)=x2-2ax+a,若对于任意的x1∈R,总存在x2∈[-1,1],使得g(x2)≤f(x1),求实数a的取值范围.

查看答案和解析>>

科目:高中数学 来源:2010-2011学年江苏省苏州市吴江市松陵高级中学高三(下)期中数学试卷(解析版) 题型:填空题

已知函数在x=1和x=3处的切线互相平行,则实数a=   

查看答案和解析>>

科目:高中数学 来源:2011-2012学年湖北省黄冈市团风中学高三(下)高考交流数学试卷(理科)(解析版) 题型:解答题

已知函数在x=1处取得极值2,
(1)求f(x)的解析式;
(2)设A是曲线y=f(x)上除原点O外的任意一点,过OA的中点且垂直于x轴的直线交曲线于点B,试问:是否存在这样的点A,使得曲线在点B处的切线与OA平行?若存在,求出点A的坐标;若不存在,说明理由;
(3)设函数g(x)=x2-2ax+a,若对于任意x1∈R的,总存在x2∈[-1,1],使得g(x2)≤f(x1),求实数a的取值范围.

查看答案和解析>>

同步练习册答案