精英家教网 > 高中数学 > 题目详情
焦点为(0,6),且与双曲线有相同的渐近线的双曲线方程是( )
A.
B.
C.
D.
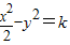
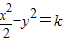
【答案】分析:设所求的双曲线方程是 ,由 焦点(0,6)在y 轴上,知 k<0,故双曲线方程是 
据 c2=36  求出 k值,即得所求的双曲线方程.
解答:解:由题意知,可设所求的双曲线方程是 ,∵焦点(0,6)在y 轴上,∴k<0,
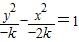
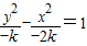
所求的双曲线方程是  ,由-k+(-2k)=c2=36,∴k=-12,
故所求的双曲线方程是  
故选 B.
点评:本题考查双曲线的标准方程,以及双曲线的简单性质的应用.
练习册系列答案
相关习题

科目:高中数学 来源: 题型:

焦点为(0,6),且与双曲线
x2
2
-y2=1
有相同的渐近线的双曲线方程是(  )
A、
x2
12
-
y2
24
=1
B、
y2
12
-
x2
24
=1
C、
y2
24
-
x2
12
=1
D、
x2
24
-
y2
12
=1

查看答案和解析>>

科目:高中数学 来源: 题型:

焦点为(0,6),且与双曲线
x2
2
-y2=1
有相同的渐近线的双曲线方程是
y2
12
-
x2
24
=1
y2
12
-
x2
24
=1

查看答案和解析>>

科目:高中数学 来源: 题型:

焦点为(0,6),且与双曲线有相同的渐近线的双曲线方程是       (  )

       A.       B.     C.       D.

查看答案和解析>>

科目:高中数学 来源:2010-2011学年山东省济南外国语学校高二(下)入学数学试卷(理科)(解析版) 题型:选择题

焦点为(0,6),且与双曲线有相同的渐近线的双曲线方程是( )
A.
B.
C.
D.

查看答案和解析>>

科目:高中数学 来源:2009-2010学年浙江省杭州市学军中学高二(上)期末数学试卷(文科)(解析版) 题型:填空题

焦点为(0,6),且与双曲线有相同的渐近线的双曲线方程是   

查看答案和解析>>

同步练习册答案