精英家教网 > 高中数学 > 题目详情
设曲线y=(ax-1)ex在点A(x,y1)处的切线为l1,曲线y=(1-x)e-x在点B(x,y2)处的切线为l2.若存在,使得l1⊥l2,则实数a的取值范围为   
【答案】分析:根据曲线方程分别求出导函数,把A和B的横坐标x分别代入到相应的导函数中求出切线l1和切线为l2的斜率,然后根据两条切线互相垂直得到斜率乘积为-1,列出关于等式由解出,然后根据为减函数求出其值域即可得到a的取值范围.
解答:解:函数y=(ax-1)ex的导数为y′=(ax+a-1)ex
∴l1的斜率为
函数y=(1-x)e-x的导数为y′=(x-2)e-x
∴l2的斜率为
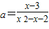
由题设有k1•k2=-1从而有
∴a(x2-x-2)=x-3
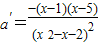
得到x2-x-2≠0,所以
,另导数大于0得1<x<5,
在(0,1)是减函数,在(1,)上是增函数,
x=0时取得最大值为=
x=1时取得最小值为1.

故答案为:
点评:此题是一道综合题,考查学生会利用导数求切线的斜率,会求函数的值域,掌握两直线垂直时斜率的关系.
练习册系列答案
相关习题

科目:高中数学 来源: 题型:

设曲线y=(ax-1)ex在点A(x0,y1)处的切线为l1,曲线y=(1-x)e-x在点B(x0,y2)处的切线为l2.若存在x0∈[0,
32
]
,使得l1⊥l2,则实数a的取值范围为
 

查看答案和解析>>

科目:高中数学 来源: 题型:

设曲线y=(ax-1)ex在点A(x0,y1)处的切线为l1,曲线y=(1-x)e-x在点B(x0,y2)处的切线为l2,若存在x0∈[0 , 
32
]
,使得l1⊥l2,求实数a的取值范围.

查看答案和解析>>

科目:高中数学 来源: 题型:

设曲线y=(ax-1)ex在点A(x0,y1)的切线为l1,曲线y=
1-x
ex
在点B(x0,y2)的切线为l2,若存在x0∈[-
1
2
3
2
]
,使得l1⊥l2,则实数a的取值范围是
[1,
14
5
]
[1,
14
5
]

查看答案和解析>>

科目:高中数学 来源: 题型:解答题

设曲线y=(ax-1)ex在点A(x0,y1)处的切线为l1,曲线y=(1-x)e-x在点B(x0,y2)处的切线为l2,若存在数学公式,使得l1⊥l2,求实数a的取值范围.

查看答案和解析>>

科目:高中数学 来源:2011-2012学年江西省赣州市南康二中高三(上)数学周练试卷(26-29班)(10.7)(解析版) 题型:填空题

设曲线y=(ax-1)ex在点A(x,y1)处的切线为l1,曲线y=(1-x)e-x在点B(x,y2)处的切线为l2.若存在,使得l1⊥l2,则实数a的取值范围为   

查看答案和解析>>

同步练习册答案