精英家教网 > 高中数学 > 题目详情
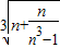
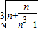
已知,…,,则=   
【答案】分析:根据题意,分析所给的等式,可以归纳得到=n×,进而在中,比较可得m、n的值,代入中,可得答案.
解答:解:根据题意,分析可得:对于,有7=23-1,则有=2
对于,有26=33-1,则有=3
对于,有63=43-1,则有=4
…,
可以归纳:=n×
则对于,则有m=2011,n=20113-1,
==2011;
故答案为2011.
点评:本题考查归纳推理,关键在于根据所给的等式,发现归纳出规律.
练习册系列答案
相关习题

科目:高中数学 来源: 题型:

已知sin(
π
3
)=
1
3
,则cos(
6
)=(  )

查看答案和解析>>

科目:高中数学 来源: 题型:

在等差数列{an}中,已知S6=10,S12=30,则S18=
60
60

查看答案和解析>>

科目:高中数学 来源: 题型:

下列四个命题中,正确的是(  )

查看答案和解析>>

科目:高中数学 来源: 题型:

已知cos(π+a)=-
4
5
,则sin(
π
2
+a)(  )

查看答案和解析>>

科目:高中数学 来源: 题型:

已知a>b>0,则下列不等式一定成立的是(  )
A、a2<ab
B、
1
a
1
b
C、|a|<|b|
D、(
1
2
a<(
1
2
b

查看答案和解析>>

同步练习册答案