精英家教网 > 高中数学 > 题目详情
已知等差数列{an}的公差大于0,且a3,a5是方程x2-14x+45=0的两根,数列{bn}的前n项的和为Sn,且
(Ⅰ)求数列{an},{bn}的通项公式;
(Ⅱ)记cn=an•bn,求数列{cn}的前n项和Tn
【答案】分析:(Ⅰ)由已知可得,且a5>a3,联立方程解得a5,a3,进一步求出数列{an}通项,数列{bn}中,利用递推公式
(Ⅱ)用错位相减求数列{cn}的前n和
解答:解:(Ⅰ)∵a3,a5是方程x2-14x+45=0的两根,且数列{an}的公差d>0,
∴a3=5,a5=9,公差
∴an=a5+(n-5)d=2n-1.(3分)
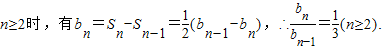
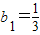
又当n=1时,有


∴数列{bn}是首项,公比等比数列,
(6分)

(Ⅱ)由(Ⅰ)知,则(1)
=(2)(10分)
(1)-(2)得:=
化简得:(12分)
点评:本题主要考查了等差数列的通项公式的求解,利用递推公式求通项,体现了数学中的转化思想;一般的,若数列{an}为等差数列,{bn}为等比数列,求数列{an•bn}的前n和可采用错位相减法.
练习册系列答案
相关习题

科目:高中数学 来源: 题型:

已知等差数列{an},公差d不为零,a1=1,且a2,a5,a14成等比数列;
(1)求数列{an}的通项公式;
(2)设数列{bn}满足bn=an3n-1,求数列{bn}的前n项和Sn

查看答案和解析>>

科目:高中数学 来源: 题型:

已知等差数列{an}中:a3+a5+a7=9,则a5=
 

查看答案和解析>>

科目:高中数学 来源: 题型:

已知等差数列{an}满足:a5=11,a2+a6=18.
(1)求{an}的通项公式;
(2)若bn=an+q an(q>0),求数列{bn}的前n项和Sn

查看答案和解析>>

科目:高中数学 来源: 题型:

已知等差数列{an}满足a2=0,a6+a8=-10
(1)求数列{an}的通项公式;     
(2)求数列{|an|}的前n项和;
(3)求数列{
an2n-1
}的前n项和.

查看答案和解析>>

科目:高中数学 来源: 题型:

精英家教网已知等差数列{an}中,a4a6=-4,a2+a8=0,n∈N*
(Ⅰ)求数列{an}的通项公式;
(Ⅱ)若{an}为递增数列,请根据如图的程序框图,求输出框中S的值(要求写出解答过程).

查看答案和解析>>

同步练习册答案