精英家教网 > 高中数学 > 题目详情
函数,若f(1)+f(a)=2,则a=   
【答案】分析:利用分段函数的解析式求出f(1),进一步确定出f(a),根据自变量的不同范围进行讨论确定出a所在的区间运用方程思想求出字母a.
解答:解:由于f(1)=e 1-1=1,再根据f(1)+f(a)=2⇒f(a)=1.
当a>0时,f(a)=e a-1=1⇒a=1;
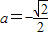
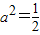
当-1<a<0时,f(a)=sin(πa2)=1⇒
由于-1<a<0,得出
故答案为:1或
点评:本题考查分段函数的认识和理解,考查已知分段函数值求自变量的方法,要注意对所给的字母进行讨论,体现了方程的思想.
练习册系列答案
相关习题

科目:高中数学 来源: 题型:

12、对于函数y=f(x),定义域为D,以下命题正确的是(只要求写出命题的序号)

①若f(-1)=f(1),f(-2)=f(2),则y=f(x)是D上的偶函数;
②若f(-1)<f(0)<f(1)<f(2),则y=f(x)是D上的递增函数;
③若f'(2)=0,则y=f(x)在x=2处一定有极大值或极小值;
④若?x∈D,都有f(x+1)=f(-x+3)成立,则y=f(x)图象关于直线x=2对称.

查看答案和解析>>

科目:高中数学 来源:不详 题型:填空题

对于函数y=f(x),定义域为D,以下命题正确的是(只要求写出命题的序号) ______;
①若f(-1)=f(1),f(-2)=f(2),则y=f(x)是D上的偶函数;
②若f(-1)<f(0)<f(1)<f(2),则y=f(x)是D上的递增函数;
③若f'(2)=0,则y=f(x)在x=2处一定有极大值或极小值;
④若?x∈D,都有f(x+1)=f(-x+3)成立,则y=f(x)图象关于直线x=2对称.

查看答案和解析>>

科目:高中数学 来源:2008-2009学年浙江省温州市八校联考高三(上)入学数学试卷(理科)(解析版) 题型:填空题

对于函数y=f(x),定义域为D,以下命题正确的是(只要求写出命题的序号)    
①若f(-1)=f(1),f(-2)=f(2),则y=f(x)是D上的偶函数;
②若f(-1)<f(0)<f(1)<f(2),则y=f(x)是D上的递增函数;
③若f'(2)=0,则y=f(x)在x=2处一定有极大值或极小值;
④若?x∈D,都有f(x+1)=f(-x+3)成立,则y=f(x)图象关于直线x=2对称.

查看答案和解析>>

科目:高中数学 来源:2010年北京市首师大附中高三大练习数学试卷08(理科)(解析版) 题型:填空题

对于函数y=f(x),定义域为D,以下命题正确的是(只要求写出命题的序号)    
①若f(-1)=f(1),f(-2)=f(2),则y=f(x)是D上的偶函数;
②若f(-1)<f(0)<f(1)<f(2),则y=f(x)是D上的递增函数;
③若f'(2)=0,则y=f(x)在x=2处一定有极大值或极小值;
④若?x∈D,都有f(x+1)=f(-x+3)成立,则y=f(x)图象关于直线x=2对称.

查看答案和解析>>

科目:高中数学 来源:2010年北京市首师大附中高三大练习数学试卷09(文科)(解析版) 题型:填空题

对于函数y=f(x),定义域为D,以下命题正确的是(只要求写出命题的序号)    
①若f(-1)=f(1),f(-2)=f(2),则y=f(x)是D上的偶函数;
②若f(-1)<f(0)<f(1)<f(2),则y=f(x)是D上的递增函数;
③若f'(2)=0,则y=f(x)在x=2处一定有极大值或极小值;
④若?x∈D,都有f(x+1)=f(-x+3)成立,则y=f(x)图象关于直线x=2对称.

查看答案和解析>>

同步练习册答案