精英家教网 > 高中数学 > 题目详情
已知直线y=-x+1与椭圆=1(a>b>0)相交于A、B两点.
(1)若椭圆的离心率为,焦距为2,求椭圆的标准方程;
(2)若OA⊥OB(其中O为坐标原点),当椭圆的离率e∈时,求椭圆的长轴长的最大值.
【答案】分析:(1)利用椭圆的离心率公式求出椭圆中的参数a,利用椭圆中三个参数的关系求出b,代入椭圆的方程求出椭圆的标准方程.
(2)将直线的方程与椭圆的方程联立,利用韦达定理求出两个交点的横、纵坐标之积;利用向量垂直的充要条件将
OA⊥OB用交点的坐标表示,得到椭圆的三个参数的一个等式,再利用椭圆的三个参数本身的关系得到参数a与离心率的关系,利用离心率的范围求出a的范围,得到椭圆的长轴长的最大值.
解答:解(1)∵e=.又2c=2,解得a=
则b=
(2)

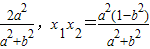
消去y得(a2+b2)•x2-2a2x+a2•(1-b2)=0,
由△=(-2a22-4a2(a2+b2)(1-b2)>0,整理得a2+b2>1.
设A(x1,y1,),B(x2,y2),
则x1+x2=
∴y1y2=(-x1+1)(-x2+1)=x1x2-(x1+x2)+1.
∵OA⊥OB(其中O为坐标原点),
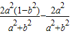
∴x1x2+y1y2=0,即2x1x2-(x1+x2)+1=0.
+1=0.整理得a2+b2-2a2b2=0.
∵b2=a2-c2=a2-a2e2,代入上式得
2a2=1+
∴a2=
∵e∈

≤2,∴≤3,
,适合条件a2+b2>1,
由此得

故长轴长的最大值为
点评:求圆锥曲线的方程,一般利用待定系数法;解决直线与圆锥曲线的位置关系问题,一般设出直线方程,将直线方程与圆锥曲线方程联立,消去一个未知数,得到关于一个未知数的二次方程,利用韦达定理,找突破口.注意设直线方程时,一定要讨论直线的斜率是否存在.
练习册系列答案
相关习题

科目:高中数学 来源: 题型:

已知直线y=-x+1与椭圆
x2
a2
+
y2
b2
=1(a>b>0)相交于A、B两点.
(1)若椭圆的离心率为
3
3
,焦距为2,求椭圆的标准方程;
(2)若OA⊥OB(其中O为坐标原点),当椭圆的离率e∈[
1
2
2
2
]
时,求椭圆的长轴长的最大值.

查看答案和解析>>

科目:高中数学 来源: 题型:

已知直线y=x-1与双曲线交于两点M,N 线段MN的中点横坐标为-
2
3
双曲线焦点c为
7
,则双曲线方程为
 

查看答案和解析>>

科目:高中数学 来源: 题型:

已知直线y=-x+1与椭圆
x2
a2
+
y2
b2
=1(a>b>0)相交于A、B两点.
(1)若椭圆的离心率为
3
3
,焦距为2,求椭圆方程;
(2)在(1)的条件下,求线段AB的长;
(3)若椭圆的离心率e∈(
2
2
,1)
,向量
OA
与向量
OB
互相垂直(其中O为坐标原点),求椭圆的长轴的取值范围.

查看答案和解析>>

科目:高中数学 来源: 题型:

已知直线y-x=1与曲线y=ex(其中e为自然数2.71828…)相切于点p,则点p的点坐标为
(0,1)
(0,1)

查看答案和解析>>

科目:高中数学 来源: 题型:

已知直线y=-x+1与椭圆
x2
a2
+
y2
b2
=1(a>b>0)
相交于A、B两点.
(1)若椭圆的离心率为
3
3
,焦距为2,求线段AB的长;
(2)(文科做)若线段OA与线段OB互相垂直(其中O为坐标原点),求
1
a2
+
1
b2
的值;
(3)(理科做)若线段OA与线段OB互相垂直(其中O为坐标原点),当椭圆的离心率e∈[
1
2
2
2
]
时,求椭圆的长轴长的最大值.

查看答案和解析>>

同步练习册答案