精英家教网 > 高中数学 > 题目详情

求下列函数的单调区间:

(1)(2)

答案:略
解析:

解:(1)

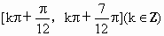
∴函数的单调增区间是

∴函数单调减区间为

(2)

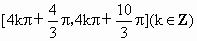
∴函数的单调增区间是

同理可求得单调减区间是


练习册系列答案
相关习题

科目:高中数学 来源: 题型:

求下列函数的单调区间:
(1)y=
1
2
sin(
π
4
-
2x
3
);(2)y=-|sin(x+
π
4
)|.

查看答案和解析>>

科目:高中数学 来源: 题型:

求下列函数的单调区间:
(1)f(x)=
x
2
+sinx;
(2)f(x)=
2x-b
(x-1)2

查看答案和解析>>

科目:高中数学 来源: 题型:

求下列函数的单调区间,并指出其增减性.
(1)y=a1-x2(a>0且a≠1);
(2)y=log
12
(4x-x3).

查看答案和解析>>

科目:高中数学 来源: 题型:

求下列函数的单调区间.
(1)y=(
12
 x2-2x+2
(2)y=log2(x2-4x)

查看答案和解析>>

科目:高中数学 来源:2012年人教A版高中数学必修四1.4三角函数的图像与性质练习卷(四)(解析版) 题型:解答题

求下列函数的单调区间:

(1)y=tan; (2)ytan2x+1;

(3)y=3tan.

 

查看答案和解析>>

同步练习册答案