精英家教网 > 高中数学 > 题目详情
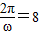
函数f(x)=Acos(ωx+φ)(A>0,ω>0)的部分图象如图所示,则f(1)+f(2)+…+f(2009)的值为( )

A.0
B.2-
C.1
D.
【答案】分析:根函数f(x)=Acos(ωx+φ)(A>0,ω>0)及其图象,可以求得A=2,又ω>0,由T=可求得ω=,得,于是,利用函数的周期性可以求得答案.
解答:解:由T=可得ω=
,可求得,又A=2,

又f(1)+f(2)+f(3)+…+f(8)=0,
∴f(1)+f(2)+f(2)+…+f(2009)
=.排除A、B、C;
故选D.
点评:本题考查三角函数的图象与周期性,难点在于根据图象求得A,ω,φ的值,属于中档题.
练习册系列答案
相关习题

科目:高中数学 来源: 题型:

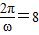
精英家教网已知函数f(x)=Acos(ωx+φ)(A>0,ω>0,0<φ<π)为奇函数,该函数的部分图象如图所示,△EFG是边长为2的等边三角形,则f(1)的值为(  )
A、-
3
2
B、-
6
2
C、
3
D、-
3

查看答案和解析>>

科目:高中数学 来源: 题型:

将函数f(x)=Acos(ωx+φ)(A>0,ω>0,|φ|<
π
2
)的图象向右平移
π
8
,再横坐标伸长为原来的2倍、纵坐标缩小为原来的一半得到函数y=sinx,则f(x)=
 

查看答案和解析>>

科目:高中数学 来源: 题型:

精英家教网已知函数f(x)=Acos(ωx+φ)(A>0,ω>0,|φ|<
π
2
,x∈R)的图象的一部分如下图所示. 
(1)求函数f(x)的解析式;
(2)当x∈[-
π
4
6
]时,求函数y=f(x)+f(x+
π
3
)的最大值与最小值及相应的x的值.

查看答案和解析>>

科目:高中数学 来源: 题型:

已知函数f(x)=Acos(ωx+φ)(x∈R)的图象的一部分如图所示,其A>0,ω>0,|φ|<
π
2
,为了得到函f(x)的图象,只要将函数g(x)=2cos2
x
2
-2sin2
x
2
(x∈R)的图象上所有的点(  )

查看答案和解析>>

科目:高中数学 来源: 题型:

(2013•普陀区二模)已知函数f(x)=Acos(ωx+?)(A>0,ω>0,-
π
2
<?<0
)的图象与y轴的交点为(0,1),它在y轴右侧的第一个最高点和第一个最低点的坐标分别为(x0,2)和(x0+2π,-2)
(1)求函数f(x)的解析式;
(2)若锐角θ满足cosθ=
1
3
,求f(2θ)的值.

查看答案和解析>>

同步练习册答案