精英家教网 > 高中数学 > 题目详情
定义在D上的函数f(x),如果满足:对任意x∈D,存在常数M>0,都有|f(x)|≤M成立,则称f(x)是D上的有界函数,其中M称为函数f(x)的上界.已知函数
(1)当a=1时,求函数f(x)在(-∞,0)上的值域,并判断函数f(x)在(-∞,0)上是否为有界函数,请说明理由;
(2)若函数f(x)在[0,+∞)上是以3为上界的有界函数,求实数a的取值范围;
(3)若m>0,函数g(x)在[0,1]上的上界是T(m),求T(m)的取值范围.
【答案】分析:(1)当a=1时,易知f(x)在(-∞,0)上递减,有f(x)>f(0)=3,再有给出的定义判断;
(2)由函数f(x)在[0,+∞)上是以3为上界的有界函数,结合定义则有|f(x)|≤3在[0,+∞)上恒成立,再转化为在[0,+∞)上恒成立即可;
(3)据题意先研究函数g(x)在[0,1]上的单调性,确定函数g(x)的范围,即分别求的最大值和最小值,根据上界的定义,T(m)不小于最大值,从而解决.
解答:解:(1)当a=1时,
因为f(x)在(-∞,0)上递减,所以f(x)>f(0)=3,
即f(x)在(-∞,1)的值域为(3,+∞)故不存在常数M>0,使|f(x)|≤M成立
所以函数f(x)在(-∞,1)上不是有界函数.(4分)
(2)由题意知,|f(x)|≤3在[0,+∞)上恒成立.(5分)
-3≤f(x)≤3,
在[0,+∞)上恒成立(6)
(7分)
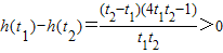
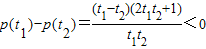
设2x=t,,由x∈[0,+∞)得t≥1,
设1≤t1<t2
所以h(t)在[1,+∞)上递减,p(t)在[1,+∞)上递增,(9分)
h(t)在[1,+∞)上的最大值为h(1)=-5,p(t)在[1,+∞)上的最小值为p(1)=1
所以实数a的取值范围为[-5,1].(10分)
(3)
∵m>0,x∈[0,1]
∴g(x)在[0,1]上递减,(12分)
∴g(1)≤g(x)≤g(0)即(13分)
①当,即时,,(12分)
此时,(14分)
②当,即时,
此时
综上所述,当时,T(m)的取值范围是
时,T(m)的取值范围是[,+∞)(16分)
点评:本题主要考查情境题的解法,在解决中要通过给出的条件转化为已有的知识和方法去解决,本题主要体现了定义法,恒成立和最值等问题,综合性强,要求学生在学习中要有恒心和毅力.
练习册系列答案
相关习题

科目:高中数学 来源: 题型:

定义在D上的函数f(x),如果满足:对任意x∈D,存在常数M>0,都有|f(x)|≤M成立,则称f(x)是D上的有界函数,其中M称为函数f(x)的上界.
已知函数f(x)=1+a•(
1
2
x+(
1
4
x;g(x)=
1-m•x2
1+m•x2

(Ⅰ)当a=1时,求函数f(x)值域并说明函数f(x)在(-∞,0)上是否为有界函数?
(Ⅱ)若函数f(x)在[0,+∞)上是以3为上界的有界函数,求实数a的取值范围;
(Ⅲ)已知m>-1,函数g(x)在[0,1]上的上界是T(m),求T(m)的取值范围.

查看答案和解析>>

科目:高中数学 来源: 题型:

定义在D上的函数f(x),如果满足对任意x∈D,存在常数M>0,都有|f(x)|≤M成立,则称f(x)是D上的有界函数,其中M称为函数f(x)的上界,已知函数f(x)=1+x+ax2
(1)当a=-1时,求函数f(x)在(-∞,0)上的值域,判断函数f(x)在(-∞,0)上是否为有界函数,并说明理由;
(2)若函数f(x)在x∈[1,4]上是以3为上界的有界函数,求实数a的取值范围.

查看答案和解析>>

科目:高中数学 来源: 题型:

定义在D上的函数f(x),如果满足:对任意x∈D,存在常数M>0,都有|f(x)|≤M成立,则称f(x)是D上的有界函数,其中M称为函数f(x)的上界.已知函数f(x)=1+a•(
1
2
)x+(
1
4
)x
; g(x)=
1-m•x2
1+m•x2

(1)若函数f(x)在[0,+∞)上是以3为上界的有界函数,求实数a的取值范围;
(2)已知m>-1,函数g(x)在[0,1]上的上界是T(m),求T(m)的取值范围.

查看答案和解析>>

科目:高中数学 来源: 题型:

对于定义在D上的函数f(x),若存在距离为d的两条直线y=kx+m1和y=kx+m2,使得对任意x∈D都有kx+m1≤f(x)≤kx+m2恒成立,则称函数f(x)(x∈D)有一个宽度为d的通道.给出下列函数:①f(x)=
1
x
,②f(x)=sinx,③f(x)=
x2-1
,其中在区间[1,+∞)上通道宽度可以为1的函数有(  )

查看答案和解析>>

科目:高中数学 来源: 题型:

如右图所示,定义在D上的函数f(x),如果满足:对?x∈D,常数A,都有f(x)≥A成立,则称函数f(x)在D上有下界,其中A称为函数的下界.(提示:图中的常数A可以是正数,也可以是负数或零)
(1)试判断函数f(x)=x3+
48
x
在(0,+∞)上是否有下界?并说明理由;
(2)已知某质点的运动方程为S(t)=at-2
t+1
,要使在t∈[0,+∞)上的每一时刻该质点的瞬时速度是以A=
1
2
为下界的函数,求实数a的取值范围.

查看答案和解析>>

同步练习册答案