精英家教网 > 高中数学 > 题目详情
下列命题中正确的是( )
A.的最小值是2
B.的最小值是2
C.的最小值是
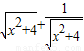
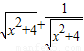
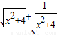
D.的最大值是
【答案】分析:当x<0时,<0;y==++=;y==≥2+=;当x<0时,的最大值是不成立.
解答:解:当x>0时,≥2=2,其最小值是2;
当x=0时,不存在;
当x<0时,=-(-x-)≤-2=-2,其最大值是-2.
故A不成立;
设y=x+,则y′=1-,当x>1时,y′>0,
∴y=x+在(1,+∞)内是增函数.
∵y==+
∴y==++=
∴y=的最小值是,故B不正确.
∵y==
∴y==≥2+=
∴y=的最小值是,故C正确;
当x>0时,≤2-2=2-4,其最大值是
当x=0时,不存在;
x<0时,=2+4,其最小值是2+4,故D不成立.
故选C.
点评:本题考查基本不等式的性质及其应用,是基础题.解题时要注意均值定理成立的条件:“一正,二定,三相等.”
练习册系列答案
相关习题

科目:高中数学 来源: 题型:

1、下列命题中正确的是(  )

查看答案和解析>>

科目:高中数学 来源: 题型:

2、若函数f(x)唯一的一个零点同时在区间(0,16),(0,8),(0,4),(0,2)内,那么下列命题中正确的是(  )

查看答案和解析>>

科目:高中数学 来源: 题型:

(2011•临沂二模)对于函数f(x)=
3
sinx+cosx,下列命题中正确的是(  )

查看答案和解析>>

科目:高中数学 来源: 题型:

设l是直线,α,β是两个不同的平面,下列命题中正确的是

①若l∥α,l∥β,则α∥β;  ②若l∥α,l⊥β,则α⊥β;  ③若α⊥β,l⊥α,则l⊥β;  ④若α⊥β,l∥α,则l⊥β.

查看答案和解析>>

科目:高中数学 来源: 题型:

下列命题中正确的是(  )

查看答案和解析>>

同步练习册答案