设f(-x)=2-x+a•2x(a是常数).
(1)求f(x)的表达式;
(2)如果f(x)是偶函数,求a的值;
(3)当f(x)是偶函数时,讨论函数f(x)在区间(0,+∞)上的单调性,并加以证明.
【答案】
分析:(1)令t=-x,则x=-t,代入解析式换元即可求出外层函数的解析式;
(2)f (x)是偶函数,则可得到方程f (-x)=f (x)由此解方程即可求a,求解时要注意恒成立怎么转化.
(3)由(2)得到的解析式进行讨论,设0<x
1<x
2,研究f(x
2)-f(x
1)差的符号,进而判断出其单调性,做本题时要注意做题的格式,先判断再证明.
解答:解:(1)令t=-x,则x=-t,于是

∴

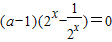
(2)∵f (x)是偶函数,∴

对任意x∈R恒成立
即

对任意x∈R恒成立,
∴a-1=0,即a=1
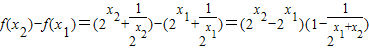
(3)由(2)知a=1,

,设0<x
1<x
2,则

∵x
1<x
2,且y=2
x是增函数,∴

,即

∵0<x
1<x
2,x
1+x
2>0,∴

故

∴f(x
2)-f(x
1)>0,即f(x
2)>f(x
1)
∴当x∈(0,+∞)时,f (x)是增函数.
点评:本题考查换元法求外层函数的解析式以及通过函数的奇偶性建立方程求参数,用函数单调性的定义证明函数的单调性,本题涉及面广,知识点多,综合性较强.