精英家教网 > 高中数学 > 题目详情
如图,已知三角形的顶点为A(2,4),B(0,-2),C(-2,3),
(Ⅰ)求直线AB的方程;
(Ⅱ)求AB边上的高所在直线的方程.

【答案】分析:(I)根据斜率公式求出斜率,然后根据点斜式写出直线方程即可.
(II)由(I)以及垂直的条件可知高所在直线方程的斜率,然后根据过点C即可得直线方程.
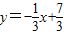
解答:解:(I)由已知直线AB的斜率…(3分)
∴直线AB的方程为:3x-y-2=0…(5分)
(II)依题意,由(I)可得AB边上的高所在的直线斜率为…(8分)
又直线过点C(-2,3)
所以,所求直线为,即x+3y-7=0…(10分)
点评:此题考查了两直线垂直的条件以及斜率公式,熟记条件和公式是解题的关键,属于中档题.
练习册系列答案
相关习题

科目:高中数学 来源: 题型:

精英家教网如图,已知三角形的顶点为A(2,4),B(0,-2),C(-2,3),求:
(Ⅰ)AB边上的中线CM所在直线的一般方程;
(Ⅱ)求△ABC的面积.

查看答案和解析>>

科目:高中数学 来源: 题型:

如图,已知三角形的顶点为A(2,4),B(0,-2),C(-2,3),
(Ⅰ)求直线AB的方程;
(Ⅱ)求AB边上的高所在直线的方程.

查看答案和解析>>

科目:高中数学 来源:2012-2013学年广东省揭阳市惠来二中高一(上)期末数学试卷(解析版) 题型:解答题

如图,已知三角形的顶点为A(2,4),B(0,-2),C(-2,3),求:
(Ⅰ)AB边上的中线CM所在直线的一般方程;
(Ⅱ)求△ABC的面积.

查看答案和解析>>

科目:高中数学 来源:2012-2013学年浙江省舟山市岱山县大衢中学高二(上)期中数学试卷(理科)(解析版) 题型:解答题

如图,已知三角形的顶点为A(2,4),B(0,-2),C(-2,3),求:
(Ⅰ)AB边上的中线CM所在直线的一般方程;
(Ⅱ)求△ABC的面积.

查看答案和解析>>

科目:高中数学 来源:2010-2011学年山东省潍坊市临朐县高一(下)年后收心考试阶段性教学质量检测数学试卷(解析版) 题型:解答题

如图,已知三角形的顶点为A(2,4),B(0,-2),C(-2,3),求:
(Ⅰ)AB边上的中线CM所在直线的一般方程;
(Ⅱ)求△ABC的面积.

查看答案和解析>>

同步练习册答案