精英家教网 > 高中数学 > 题目详情
己知数列{an}的前n项和满足Sn=2n+1-1,则an=   
【答案】分析:当n=1时,可求a1=S1=3,当n≥2时,an=Sn-Sn-1,验证n=1时是否符合,符合则合并,否则分开写.
解答:解:∵Sn=2n+1-1,
当n=1时,a1=S1=3,
当n≥2时,an=Sn-Sn-1=(2n+1-1)-(2n-1)=2n
显然,n=1时a1=3≠2,不符合n≥2的关系式.
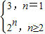
∴an=
故答案为:
点评:本题考查数列的前n项和的应用,考查等比关系的确定及其通项公式的求法,属于中档题.
练习册系列答案
相关习题

科目:高中数学 来源: 题型:

己知数列{an}的前n项和为Sn=n2+
12
n

(I)求a1,及数列{an}的通项公式;
( II)数列{an}是等差数列吗?如果是,求它的公差是多少;如果不是说明理由.

查看答案和解析>>

科目:高中数学 来源: 题型:

己知数列{an}的前n项和为Sn,a1=2,当n≥2时,Sn-1+1,an,Sn+1成等差数列.
(1)求数列{an}的通项公式;
(2)设bn=log3
an+1
2
,Tn是数列{
1
bnbn+1
}
的前n项和,求使得Tn
m
20
对所有n∈N*都成立的最小正整数m.

查看答案和解析>>

科目:高中数学 来源: 题型:

己知数列{an}的前n项和为Sn,a1=2,当n≥2时,Sn-1+1,an,Sn+1成等差数列.
(1)求数列{an}的通项公式;
(2)设bn=
3n
SnSn+1
,Tn是数列{bn}的前n项和,求使得Tn
m
20
对所有n∈N*都成立的最小正整数m.

查看答案和解析>>

科目:高中数学 来源: 题型:

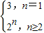
己知数列{an}的前n项和满足Sn=2n+1-1,则an=
3,n=1
2n,n≥2
3,n=1
2n,n≥2

查看答案和解析>>

科目:高中数学 来源: 题型:

(2013•温州二模)己知数列{an}的前n项和为Sn,a1=2.当n≥2时.Sn-1+l,an.Sn+1成等差数列.
(I)求证:{Sn+1}是等比数列:
(II)求数列{nan}的前n项和.

查看答案和解析>>

同步练习册答案