精英家教网 > 高中数学 > 题目详情
一个袋中有大小相同的标有1,2,3,4,5,6的6个小球,某人做如下游戏,每次从袋中拿一个球(拿后放回),记下标号.若拿出球的标号是3的倍数,则得1分,否则得-1分.
(1)求拿4次至少得2分的概率;
(2)求拿4次所得分数ξ的分布列和数学期望.
【答案】分析:(1)拿4次至少得2分包括2分和4分两种情况,这两种情况是互斥的,根据独立重复试验的概率公式做出结果,再把两部分相加得到结果.
(2)看出变量的可能的取值,结合变量对应的事件,做出变量对应的概率和分布列,再做出变量对应的期望值.
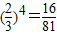
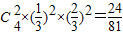
解答:解:(1)设拿出球的号码是3的倍数的为事件A,则P(A)=
拿4次至少得2分包括2分和4分两种情况.
=
P=P1+P2=…(5分)
(2)ξ的可能取值为-4,-2,0,2,4,
则P(ξ=-4)=;  P(ξ=-2)=
P(ξ=0)=     P( ξ=2)=,P( ξ=4)=
∴分布列为
P-4-224
ξ
∴Eξ=-4×=-…(14分)
点评:本题考查离散型随机变量的分布列和期望,本题解题的关键是利用独立重复试验的概率公式做出概率的值,本题是一个中档题目.
练习册系列答案
相关习题

科目:高中数学 来源: 题型:

一个袋中有大小相同的标有1,2,3,4,5,6的6个小球,某人做如下游戏,每次从袋中拿一个球(拿后放回),记下标号.若拿出球的标号是3的倍数,则得1分,否则得-1分.
(1)求拿4次至少得2分的概率;
(2)求拿4次所得分数ξ的分布列和数学期望.

查看答案和解析>>

科目:高中数学 来源: 题型:

一个袋中有大小相同的标有1,2,3,4,5,6的6个小球,某人做如下游戏,每次从袋中拿一个球(拿后放回),记下标号.若拿出球的标号是3的倍数,则得1分,否则得-1分.
(Ⅰ)求拿4次至少得2分的概率;
(Ⅱ)求拿4次所得分数ξ的分布列和数学期望.

查看答案和解析>>

科目:高中数学 来源: 题型:

一个袋中有大小相同的标有1、2、3、4、5、6的6个小球,某人做如下游戏,每次从袋中拿一个球(拿后放回),记下标号.若拿出球的标号是3的倍数,则得1分,否则得-1分,则拿4次所得分数ξ的数学期望是
-
3
4
-
3
4

查看答案和解析>>

科目:高中数学 来源: 题型:

(09年湖北五市联考理)(12分)

一个袋中有大小相同的标有1,2,3,4,5,6的6个小球,某人做如下游戏,每次从

袋中拿一个球(拿后放回),记下标号.若拿出球的标号是3的倍数,则得1分,否则得分.

   (Ⅰ)求拿4次至少得2分的概率;

   (Ⅱ)求拿4次所得分数的分布列和数学期望.

查看答案和解析>>

科目:高中数学 来源: 题型:

(本小题满分13分)一个袋中有大小相同的标有1,2,3,4,5,6的6个小球,某人做如下游戏,每次从袋中拿一个球(拿后放回),记下标号.若拿出球的标号是3的倍数,则得1分,否则得分.

   (Ⅰ)求拿4次至少得2分的概率;   (Ⅱ)求拿4次所得分数的分布列和数学期望.

查看答案和解析>>

同步练习册答案