【答案】
分析:(Ⅰ)先求出函数的定义域,并求出f′(x)=0时x的值,在定义域内取m的值讨论导函数的正负决定函数的增减性,得到函数的单调区间即可;
(Ⅱ)在x∈(-

,

]至少存在一点x
,使f(x
)>e+1成立,只需求出f(x)的最大值大于e+1即可求出m的范围.所以在根据第一问函数的增减性得到在x∈(-

,

]区间f(x)的最大值即可;
(Ⅲ)把m=-1代入求出f(x),然后构造辅助函数g(x)=f(x)-

x,求出g′(x)并讨论得到g(x)在(0,1)为减函数,对任意0<x
1<x
2<1,都有g(x
1)>g(x
2)成立,即f(x
1)-

x
1>f(x
2)-

x
2.即f(x
2)-f(x
1)<

(x
2-x
1)解出即可得证.
解答:解:(Ⅰ)易知f(x)的定义域为x∈(-

,+∞).
f′(x)=x-

+m=

=

.
由f′(x)=0得:x=0或x=-m-

.
∵m<0,∴-m-

∈(-

,+∞).
∴(1)当-

≤m<0时,则x∈(-

,-m-

)时,f′(x)>0,f(x)为增函数;
x∈(-m-

,0)时,f′(x)<0,f(x)为减函数;
x∈(0,+∞)时,f′(x)>0,f(x)为增函数.
(2)当m<-

时,则x∈(-

,0)时,f′(x)>0,f(x)为增函数;
x∈(0,-m-

)时,f′(x)<0,f(x)为减函数;
x∈(-m-

,+∞)时,f′(x)>0,f(x)为增函数.
(Ⅱ)在x∈(-

,

]上至少存在一点x
,使f(x
)>g+1成立,
等价于当x∈(-

,

]时,f(x)
max>g+1.
∵m≤-

,∴

≤-m-

.
由(Ⅰ)知,x∈(-

,0]时,f(x)为增函数,x∈[0,

)时,f(x)为减函数.
∴在x∈(-

,

]时,f(x)
max=f(0)=-2m.∴-2m>g+1,即m<

.
检验,上式满足m≤-

,所以m<

是所求范围.
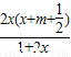
(Ⅲ)当m=-1时,函数f(x)=

x
2+ln

-x+2.
构造辅助函数g(x)=f(x)-

x,并求导得g′(x)=x+

-

=

=

显然当x∈(0,1)时,g′(x)<0,g(x)为减函数.
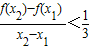
∴对任意0<x
1<x
2<1,都有g(x
1)>g(x
2)成立,即f(x
1)-

x
1>f(x
2)-

x
2.
即f(x
2)-f(x
1)<

(x
2-x
1)
即.又∵x
2-x
1>0,∴

.
点评:考查学生利用导数研究函数单调性的能力,理解函数的最值及几何意义,掌握利用函数增减性证明不等式的方法.