精英家教网 > 高中数学 > 题目详情
已知命题p:指数函数f(x)=(2a-6)x在R上单调递减,命题q:关于x的方程x2-3ax+2a2+1=0的两个实根均大于3.若p或q为真,p且q为假,求实数a的取值范围.
【答案】分析:根据指数函数的单调性求出命题p为真命题时a的范围,利用二次方程的实根分布求出命题q为真命题时a的范围;
据复合命题的真假与构成其简单命题真假的关系将“p或q为真,p且q为假”转化为p q的真假,列出不等式解得.
解答:解:若p真,则f(x)=(2a-6)x在R上单调递减,
∴0<2a-6<1,
∴3<a<
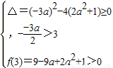
若q真,令f(x)=x2-3ax+2a2+1,则应满足

∴a>
又由题意应有p真q假或p假q真.
①若p真q假,则,a无解.
②若p假q真,则
<a≤3或a≥
点评:本题考查复合命题的真假与简单命题真假的关系;考查二次方程实根分布.
练习册系列答案
相关习题

科目:高中数学 来源: 题型:

已知命题p:指数函数f(x)=(2a-6)x在R上单调递减,命题q:关于x的方程x2-3ax+2a2+1=0的两个实根均大于3.若p或q为真,p且q为假,求实数a的取值范围.

查看答案和解析>>

科目:高中数学 来源: 题型:

已知命题p:指数函数y=ax在R上单调递增;命题q:函数y=x2+(a-1)x+1有两个不等的根,若p∨q为真,?q也为真.求实数a的取值范围.

查看答案和解析>>

科目:高中数学 来源: 题型:

(本小题满分14分)

已知命题p:指数函数f(x)=(2a-6)x在R上单调递减,命题q:关于x的方程x2-3ax+2a2+1=0的两个实根均大于3.若pq为真,pq为假,求实数a的取值范围.

查看答案和解析>>

科目:高中数学 来源:2012-2013学年江苏省高三上学期期中考试数学试卷(解析版) 题型:解答题

已知命题p:指数函数f(x)=(2a-6)x在R上单调递减,命题q:关于x的方程x2-3ax+2a2+1=0的两个实根均大于3.若pq为真,pq为假,求实数a的取值范围.

 

查看答案和解析>>

科目:高中数学 来源:2010届湖南省高三第二次月考理科数学卷 题型:解答题

(本小题满分12分)已知命题P:指数函数f(x)=在R上单调递减; 命题q:关于x的方程的两个实根均大于0,若为真,为假,求实数a的取值范围。

 

查看答案和解析>>

同步练习册答案