精英家教网 > 高中数学 > 题目详情
已知函数f(x)在定义域(-∞,1]上是减函数,问是否存在实数k,使不等式f(-)≥f(k2-sin2x)对一切实数x恒成立?若成立,求出k的取值范围,若不成立,说明理由.
【答案】分析:先假设存在实数k满足题意,再函数的单调性和不等式,列出对应的不等式,注意自变量与定义域的关系,再由0≤sin2x≤1求出k的范围即可.
解答:解:假设存在实数k满足题意,
∵f(x)在定义域(-∞,1]上是减函数,
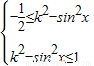
,即一切实数x恒成立,
∵0≤sin2x≤1,∴,解得

故当时不等式恒成立.
点评:本题考查了函数的单调性,正弦函数的值域的应用,以及恒成立的转化问题,属于中档题.
练习册系列答案
相关习题

科目:高中数学 来源: 题型:

精英家教网已知函数f(x)=x3+x2,数列|xn|(xn>0)的第一项xn=1,以后各项按如下方式取定:曲线x=f(x)在(xn+1,f(xn+1))处的切线与经过(0,0)和(xn,f (xn))两点的直线平行(如图).
求证:当n∈N*时,
(Ⅰ)xn2+xn=3xn+12+2xn+1
(Ⅱ)(
1
2
)n-1xn≤(
1
2
)n-2

查看答案和解析>>

科目:高中数学 来源: 题型:

已知函数f(x)=x3-x,其图象记为曲线C.
(1)求函数f(x)的单调区间;
(2)证明:若对于任意非零实数x1,曲线C与其在点P1(x1,f(x1))处的切线交于另一点P2(x2,f(x2)),曲线C与其在点P2(x2,f(x2))处的切线交于另一点P3(x3,f(x3)),线段P1P2,P2P3与曲线C所围成封闭图形的面积分别记为S1,S2,则
S1S2
为定值.

查看答案和解析>>

科目:高中数学 来源: 题型:

下列说法正确的有(  )个.
①已知函数f(x)在(a,b)内可导,若f(x)在(a,b)内单调递增,则对任意的?x∈(a,b),有f′(x)>0.
②函数f(x)图象在点P处的切线存在,则函数f(x)在点P处的导数存在;反之若函数f(x)在点P处的导数存在,则函数f(x)图象在点P处的切线存在.
③因为3>2,所以3+i>2+i,其中i为虚数单位.
④定积分定义可以分为:分割、近似代替、求和、取极限四步,对求和In=
n
i=1
f(ξi)△x
中ξi的选取是任意的,且In仅于n有关.
⑤已知2i-3是方程2x2+px+q=0的一个根,则实数p,q的值分别是12,26.

查看答案和解析>>

科目:高中数学 来源: 题型:

已知函数f(x)=ax+
bx-1
-a(a∈R,a≠0)在x=3处的切线方程为(2a-1)x-2y+3=0
(1)若g(x)=f(x+1),求证:曲线g(x)上的任意一点处的切线与直线x=0和直线y=ax围成的三角形面积为定值;
(2)若f(3)=3,是否存在实数m,k,使得f(x)+f(m-x)=k对于定义域内的任意x都成立;
(3)若方程f(x)=t(x2-2x+3)|x|有三个解,求实数t的取值范围.

查看答案和解析>>

科目:高中数学 来源:2012-2013学年山东省临沂市郯城一中高二(下)4月月考数学试卷(理科)(解析版) 题型:选择题

下列说法正确的有( )个.
①已知函数f(x)在(a,b)内可导,若f(x)在(a,b)内单调递增,则对任意的?x∈(a,b),有f′(x)>0.
②函数f(x)图象在点P处的切线存在,则函数f(x)在点P处的导数存在;反之若函数f(x)在点P处的导数存在,则函数f(x)图象在点P处的切线存在.
③因为3>2,所以3+i>2+i,其中i为虚数单位.
④定积分定义可以分为:分割、近似代替、求和、取极限四步,对求和中ξi的选取是任意的,且In仅于n有关.
⑤已知2i-3是方程2x2+px+q=0的一个根,则实数p,q的值分别是12,26.
A.0
B.1
C.3
D.4

查看答案和解析>>

同步练习册答案