精英家教网 > 高中数学 > 题目详情
设函数,g(x)=-x2+bx.若y=f(x)的图象与y=g(x)的图象有且仅有两个不同的公共点A(x1,y1),B(x2,y2),则下列判断正确的是( )
A.x1+x2>0,y1+y2>0
B.x1+x2>0,y1+y2<0
C.x1+x2<0,y1+y2>0
D.x1+x2<0,y1+y2<0
【答案】分析:构造函数设F(x)=x3-bx2+1,则方程F(x)=0与f(x)=g(x)同解,可知其有且仅有两个不同零点x1,x2.利用函数与导数知识求解.
解答:解:设F(x)=x3-bx2+1,则方程F(x)=0与f(x)=g(x)同解,故其有且仅有两个不同零点x1,x2
由F'(x)=0得x=0或.这样,必须且只须F(0)=0或
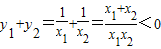
因为F(0)=1,故必有由此得.不妨设x1<x2,则.所以
比较系数得,故.
由此知
故选B.
点评:本题考查的是函数图象,但若直接利用图象其实不易判断,为此利用了构造函数的方法,利用函数与导数知识求解.要求具有转化、分析解决问题的能力.题目立意较高,很好的考查能力.
练习册系列答案
相关习题

科目:高中数学 来源: 题型:

已知函数f(x)=x3-3a2x+b(a,b∈R)在x=2处的切线方程为y=9x-14.
(1)求函数f(x)的解析式;
(2)令函数g(x)=x2-2x+k
①若存在x1,x2∈[0,2],使得f(x1)≥g(x2)能成立,求实数k的取值范围;
②设函数y=g(x)的图象与直线x=2交于点P,试问:过点P是否可作曲线y=f(x)的三条切线?若可以,求出k的取值范围;若不可以,则说明理由.

查看答案和解析>>

科目:高中数学 来源: 题型:

(2010•合肥模拟)已知函数f(x)=ex-a(x-1),x∈R.
(1)若实数a>0,求函数f(x)在(0,+∞)上的极值;
(2)记函数g(x)=f(2x),设函数y=g(x)的图象C与y轴交于P点,曲线C在P点处的切线与两坐标轴所围成的图形的面积为S(a),求当a>1时S(a)的最小值.

查看答案和解析>>

科目:高中数学 来源: 题型:

设函数y=g(x)为奇函数,f(x)=2+g(x)的最大值为M,最小值为m,则M+m=(  )

查看答案和解析>>

科目:高中数学 来源: 题型:

已知函数f(x)=ex-a(x-1),x∈R,其中a为实数.
(1)若实数a>0,求函数f(x)在(0,+∞)上的极值.
(2)记函数g(x)f(2x),设函数y=g(x)的图象C与y轴交于P点,曲线C在P点处的切线与两坐标轴所围成的图形的面积为S(a),当a>1时,求S(a)的最小值;
(3)当x∈(0,+∞)时,不等式f(x)+f′(x)+x3-2x2≥0恒成立,求实数a的取值范围.

查看答案和解析>>

科目:高中数学 来源: 题型:

(2013•昌平区二模)如果函数y=f(x)的定义域为R,对于定义域内的任意x,存在实数a使得f(x+a)=f(-x)成立,则称此函数具有“P(a)性质”.
(I)判断函数y=sinx是否具有“P(a)性质”,若具有“P(a)性质”,求出所有a的值;若不具有“P(a)性质”,请说明理由;
(II)设函数y=g(x)具有“P(±1)性质”,且当-
1
2
≤x≤
1
2
时,g(x)=|x|.若y=g(x)与y=mx交点个数为2013个,求m的值.

查看答案和解析>>

同步练习册答案