精英家教网 > 高中数学 > 题目详情
函数f(x)=k•a-x(k,a为常数,a>0且a≠1)的图象过点A(0,1),B(3,8).
(1)求函数f(x)的解析式;
(2)若函数,试判断函数g(x)的奇偶性.
【答案】分析:(1)将A(0,1),B(3,8)代入函数解析式,得到关于k和a的方程,解方程即可得k和a的值,最后写出解析式即可
(2)先判断函数的定义域是否关于原点对称,再证明g(-x)=-g(x),由奇函数的定义可判断函数g(x)的奇偶性
解答:解:(1)将A(0,1),B(3,8)代入函数解析式,得

∴f(x)=2x
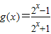
(2),其定义域为R,

∴函数g(x)为奇函数.
点评:本题考查了函数解析式的求法,函数奇偶性的判断方法,属基础题,解题时要认真运算,在证明奇偶性时还要注意代数变形方法
练习册系列答案
相关习题

科目:高中数学 来源: 题型:

函数f(x)=k•a-x(k,a为常数,a>0且a≠1)的图象过点A(0,1),B(3,8)
(1)求函数f(x)的解析式;
(2)若函数g(x)=
f(x)+bf(x)-1
是奇函数,求b的值;
(3)在(2)的条件下判断函数g(x)的单调性,并用定义证明你的结论.

查看答案和解析>>

科目:高中数学 来源: 题型:

函数f(x)=k•a-x(k,a为常数,a>0且a≠1)的图象过点A(0,1),B(3,8).
(1)求函数f(x)的解析式;
(2)若函数g(x)=
f(x)-1f(x)+1
,试判断函数g(x)的奇偶性.

查看答案和解析>>

科目:高中数学 来源: 题型:

已知函数f(x)=k•a-x(k,a为常数,a>0且a≠1)的图象过点A(0,1),B(3,8).
(1)求实数k,a的值;
(2)若函数g(x)=
f(x)-1f(x)+1
,试判断函数g(x)的奇偶性,并说明理由.

查看答案和解析>>

科目:高中数学 来源: 题型:

函数f(x)=k•a-x(k,a为常数,a>0且a≠1)的图象过点A(0,1),B(3,8).
(1)求函数f(x)的解析式;
(2)若函数g(x)=
f(x)+bf(x)-1
是奇函数,求b的值.

查看答案和解析>>

科目:高中数学 来源:2012-2013学年甘肃省陇南市西和一中高三(上)月考数学试卷(解析版) 题型:解答题

已知函数f(x)=k•a-x(k,a为常数,a>0且a≠1)的图象过点A(0,1),B(3,8).
(1)求实数k,a的值;
(2)若函数,试判断函数g(x)的奇偶性,并说明理由.

查看答案和解析>>

同步练习册答案