精英家教网 > 高中数学 > 题目详情
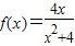
已知函数.(a∈R)
(Ⅰ)判断f(x)的奇偶性;
(Ⅱ)设方程x2-2ax-1=0的两实根为m,n(m<n),证明函数f(x)是[m,n]上的增函数.
【答案】分析:(Ⅰ)结合题意分别讨论:当a=0时与当a≠0时,函数的奇偶性,当a≠0时,取x=±1,得,即可得到答案.
(Ⅱ)利用导数判定函数的单调性,再利用二次函数的性质判定其导数与0的大小,即可得到答案.
解答:解:(Ⅰ)当a=0时,
对任意x∈(-∞,+∞),
∴f(x)为奇函数.  
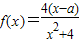
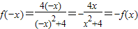
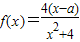
当a≠0时,
取x=±1,得
∴f(-1)≠-f(1),f(-1)≠f(1),
∴函数f(x)既不是奇函数,也不是偶函数.  
(Ⅱ)证明:因为
所以
=
设g(x)=x2-2ax-1,当x∈[m,n]时,g(x)≤0,即x2-2ax-1≤0,
-4(x2-2ax-1)≥0,

所以f(x)在区间[m,n]上是增函数.
点评:解决此类问题的关键是熟练掌握函数的有关性质,并且熟练利用导数判定函数的单调性.
练习册系列答案
相关习题

科目:高中数学 来源:2012-2013学年山东省济宁市汶上一中高二(下)期末数学试卷(理科)(解析版) 题型:解答题

已知函数,其中a∈R.
(1)若a=2,求曲线y=f(x)在点(1,f(1))处的切线方程;
(2)求f(x)在区间[2,3]上的最大值.

查看答案和解析>>

科目:高中数学 来源:2010-2011学年江苏省南京市高三第二次模拟考试数学卷 题型:填空题

已知函数f(x)= (a∈R),若对于任意的X∈N*,f(x)≥3恒成立,则a的取值范围是___

 

查看答案和解析>>

科目:高中数学 来源:陕西省月考题 题型:解答题

已知函数(其中a∈R).
(Ⅰ)若函数f(x)在点(1,f(1))处的切线为,求实数a,b的值;
(Ⅱ)求函数f(x)的单调区间.

查看答案和解析>>

科目:高中数学 来源:2009-2010学年江苏省南京九中高三(上)期中数学练习试卷(文科)(解析版) 题型:填空题

已知函数,常数a∈R),若函数f(x)在x∈[2,+∞)上是增函数,则a的取值范围是   

查看答案和解析>>

科目:高中数学 来源:2012-2013学年北京三十九中高三(上)期中数学试卷(理科)(解析版) 题型:解答题

已知函数,其中a∈R.
(Ⅰ)当a=1时,求曲线y=f(x)在原点处的切线方程;
(Ⅱ)求f(x)的单调区间;
(Ⅲ)若f(x)在[0,+∞)上存在最大值和最小值,求a的取值范围.

查看答案和解析>>

同步练习册答案