精英家教网 > 高中数学 > 题目详情
已知是奇函数
(Ⅰ)求k的值,并求该函数的定义域;
(Ⅱ)根据(Ⅰ)的结果,判断f(x)在(1,+∞)上的单调性,并给出证明.
【答案】分析:(I)根据函数是奇函数,则f(x)+f(-x)=0,建立等式关系,求出k的值,然后根据真数大于零求出函数的定义域;
(II)在(1,+∞)上任取x1,x2,并且x1>x2,然后判定f(x1)与f(x2)的大小,从而判断f(x)在(1,+∞)上的单调性.
解答:解:(Ⅰ)∵是奇函数,
∴f(x)+f(-x)=0,即
则1-k2x2=1-x2,即k=±1,(3分)
当k=1时,,所以k=-1(14分)
定义域为:{x|x>1或x<-1}
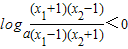
(Ⅱ)在(1,+∞)上任取x1,x2,并且x1>x2,则(8分)
又(x1+1)(x2-1)-(x1-1)(x2+1)=2(x2-x1)<0∴,又a>1,
(10分)
所以f(x1)<f(x2),所以f(x)在(1,+∞)上是单调递减函数(12分)
点评:本题主要考查了奇函数的定义,以及函数的定义域和函数在给定区间上的单调性,同时考查了计算能力,属于中档题.
练习册系列答案
相关习题

科目:高中数学 来源: 题型:

(06年安徽卷文)(12分)

设函数,已知是奇函数。

(Ⅰ)求的值。

(Ⅱ)求的单调区间与极值。

查看答案和解析>>

科目:高中数学 来源: 题型:

设函数=x3+bx2+cxx∈R),已知=-是奇函数.

(1)求bc的值;

(2)求的单调区间.

查看答案和解析>>

科目:高中数学 来源:2011-2012学年重庆市高三上学期第三次理科数学测试卷(解析版) 题型:解答题

设函数,已知是奇函数。

(Ⅰ)求的值。

(Ⅱ)求的单调区间与极值。

 

查看答案和解析>>

科目:高中数学 来源:2013届浙江省温州市高二第二学期期中考试理科数学(解析版) 题型:解答题

函数,已知是奇函数。

(Ⅰ)求b,c的值;

(Ⅱ)求g(x)的单调区间与极值。

 

查看答案和解析>>

科目:高中数学 来源:2010-2011学年福建省高三上学期期中考试数学文卷 题型:解答题

(本小题满分12分)

设函数,已知是奇函数。

(Ⅰ)求的值。

(Ⅱ)求的单调区间与极值。

 

查看答案和解析>>

同步练习册答案