精英家教网 > 高中数学 > 题目详情
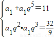
已知等比数列{an}满足a1+a6=11,且a3a4=
(1)求数列{an}的通项an
(2)如果至少存在一个自然数m,恰使,am+1+这三个数依次成等差数列,问这样的等比数列{an}是否存在?若存在,求出通项公式;若不存在,请说明理由.
【答案】分析:(1)、根据等比数列的通项公式,把已知条件化为a1,q;建立方程解之即可;
(2)、根据(1)中的通项公式,再根据恰使,am+1+这三个数依次成等差数列,分类建立方程,解之即可,注意取舍.
解答:解:(1)由题意得,则
∴an=或an=
(2)对an=,若存在题设要求的m,则
2•(•2m-12=•2m-2+•2m+
∴(2m2-7•2m+8=0.
∴2m=8,m=3.
对an=,若存在题设要求的m,同理有(26-m2-11•26-m-8=0.
而△=112+16×8不是完全平方数,故此时所需的m不存在.
综上所述,满足条件的等比数列存在,且有an=•2n-1
点评:本题考查了等比数列和等差数列,用到等比数列通项公式,等差中项,以及解方程.还有分类讨论的数学思想.
练习册系列答案
相关习题

科目:高中数学 来源: 题型:

5、已知等比数列{an}的前n项和为Sn,公比q≠1,若S5=3a4+1,S4=2a3+1,则q等于(  )

查看答案和解析>>

科目:高中数学 来源: 题型:

已知等比数列{an}中,a2=9,a5=243.
(1)求{an}的通项公式;
(2)令bn=log3an,求数列{
1bnbn+1
}的前n项和Sn

查看答案和解析>>

科目:高中数学 来源: 题型:

已知等比数列{an}满足a1•a7=3a3a4,则数列{an}的公比q=
3
3

查看答案和解析>>

科目:高中数学 来源: 题型:

已知等比数列{an}中a1=64,公比q≠1,且a2,a3,a4分别为某等差数列的第5项,第3项,第2项.
(Ⅰ)求数列{an}的通项公式;
(Ⅱ)设bn=log2an,求数列{|bn|}的前n项和Tn

查看答案和解析>>

科目:高中数学 来源: 题型:

已知等比数列{an}中,a3+a6=36,a4+a7=18.若an=
12
,则n=
9
9

查看答案和解析>>

同步练习册答案