精英家教网 > 高中数学 > 题目详情
已知椭圆的一个顶点为A(0,-1),焦点在x轴上.若右焦点到直线的距离为3.
(1)求椭圆的方程;
(2)设椭圆与直线y=kx+m(k≠0)相交于不同的两点M、N.当|AM|=|AN|时,求m的取值范围.
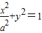
【答案】分析:(1)依题意可设椭圆方程为,由题设解得a2=3,故所求椭圆的方程为
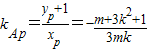
(2)设P为弦MN的中点,由得(3k2+1)x2+6mkx+3(m2-1)=0,由于直线与椭圆有两个交点,∴△>0,即m2<3k2+1.由此可推导出m的取值范围.
解答:解:(1)依题意可设椭圆方程为
则右焦点F()由题设
解得a2=3故所求椭圆的方程为
(2)设P为弦MN的中点,由
得(3k2+1)x2+6mkx+3(m2-1)=0
由于直线与椭圆有两个交点,∴△>0,即m2<3k2+1①
从而
又|AM|=||AN|,∴AP⊥MN,
即2m=3k2+1②
把②代入①得2m>m2解得0<m<2由②得解得
故所求m的取范围是().
点评:本题考查直线与椭圆的位置关系,解题时要认真审题,仔细解答.
练习册系列答案
相关习题

科目:高中数学 来源: 题型:

已知椭圆的一个顶点为A(0,-1),焦点在x轴上.若右焦点到直线x-y+2
2
=0的距离为3.
(1)求椭圆的方程;
(2)设椭圆与直线y=kx+m(k≠0)相交于不同的两点M、N.当|AM|=|AN|时,求m的取值范围.

查看答案和解析>>

科目:高中数学 来源: 题型:

已知椭圆的一个顶点为(-2,0),焦点在x轴上,且离心率为
2
2

(1)求椭圆的标准方程.
(2)斜率为1的直线l与椭圆交于A、B两点,O为原点,当△AOB的面积最大时,求直线l的方程.

查看答案和解析>>

科目:高中数学 来源: 题型:

已知椭圆的一个顶点为A(0,-1),焦点在x轴上,离心率为
6
3

(1)求椭圆的方程;
(2)设椭圆与直线y=kx+m(k≠0)相交于不同的两点M、N,当|AM|=|AN|时,求m的取值范围.

查看答案和解析>>

科目:高中数学 来源: 题型:

已知椭圆的一个顶点为B(0,-1),焦点在x轴上,若右焦点F到直线x-y+2
2
=0的距离为3.  
(1)求椭圆的方程;
(2)设直线l与椭圆相交于不同的两点M、N,直线l的斜率为k(k≠0),当|BM|=|BN|时,求直线l纵截距的取值范围.

查看答案和解析>>

科目:高中数学 来源: 题型:

已知椭圆的一个顶点为A(0,-1),焦点在x轴上,且右焦点到直线x-y+2
2
=0的距离为3,一条斜率为k(k≠0)的直线l与该椭圆交于不同的两点M、N,且满足|
AM
|=|
AN
|
,求实数k的取值范围.

查看答案和解析>>

同步练习册答案