精英家教网 > 高中数学 > 题目详情
设F为抛物线y2=4x的焦点,A为抛物线上任意一点,以F为圆心,|AF|为半径画圆,与x轴负半轴交于B点,试判断过A,B的直线与抛物线的位置关系,并证明.
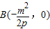
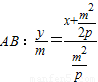
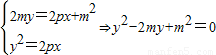
【答案】分析:设A( ,m),则|AF|=+,所以AB:2my=2px+m2,联立 方程组,得y2-2my+m2=0,再利用根的判别式能判断直线AB与抛物线的位置关系.
解答:解:设

,即2my=2px+m2

∴△=4m2-4m2=0,
∴直线AB与抛物线相切.
点评:本题考查直线与抛物线的位置关系的判断与应用,解题时要认真审题,注意根的判别式的合理运用.
练习册系列答案
相关习题

科目:高中数学 来源: 题型:

(07年全国卷Ⅱ理)设F为抛物线y2=4x的焦点,A、B、C为该抛物线上三点,若=0,则|FA|+|FB|+|FC|=

(A)9               (B)   6                   (C) 4            (D) 3

查看答案和解析>>

科目:高中数学 来源: 题型:

F为抛物线y2=4x的焦点,ABC为该抛物线上三点,若等于

A.9                       B.6                              C.4                              D.3

查看答案和解析>>

科目:高中数学 来源: 题型:

12.设F为抛物线y2=4x的焦点,A、B、C为该抛物线上三点,若=0,则|FA|+|FB|+|FC|=

(A)9               (B)   6                   (C) 4            (D) 3

查看答案和解析>>

科目:高中数学 来源: 题型:

设F为抛物线y2=4x的焦点,A、B、C为该抛物线上三点,若++=0,则||+||+||的值为                           (  )

A.3         B.4        C.5         D.6

查看答案和解析>>

科目:高中数学 来源: 题型:

(08年龙岩一中模拟理)设F为抛物线y2=4x的焦点,A、B、C为该抛物线上三点,若(    )

A.9              B.6                 C.4               D.3

查看答案和解析>>

同步练习册答案