精英家教网 > 高中数学 > 题目详情
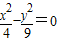
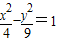
双曲线的渐近线方程是( )
A.
B.
C.
D.
【答案】分析:根据双曲线的渐近线方程的求法,直接求解即可.
解答:解:双曲线的渐近线方程是,即
故选C.
点评:本题考查双曲线的渐近线方程的求法,双曲线的基本性质的应用,考查计算能力.
练习册系列答案
相关习题

科目:高中数学 来源: 题型:

已知焦点在x轴上的双曲线的虚轴长等于半焦距,则双曲线的渐近线方程是
y=±
3
x
y=±
3
x

查看答案和解析>>

科目:高中数学 来源: 题型:

(2013•莱芜二模)已知双曲线
x2
a2
-
y2
b2
=1
的实轴长为2,焦距为4,则该双曲线的渐近线方程是(  )

查看答案和解析>>

科目:高中数学 来源: 题型:

(2013•枣庄二模)F1,F2为双曲线
x2
a2
-
y2
b2
=1(a>0,b>0)
的左右焦点,过点F2作此双曲线一条渐近线的垂线,垂足为M,满足|
MF1
|=
2
|
MF2
|
,则此双曲线的渐近线方程是(  )

查看答案和解析>>

科目:高中数学 来源: 题型:

若双曲线
x2
a2
-
y2
b2
=1(a>0,b>0)
的一个焦点到一条渐近线的距离等于焦距的
1
4
,则该双曲线的渐近线方程是
 

查看答案和解析>>

科目:高中数学 来源: 题型:

若F1,F2是双曲线
x2
a2
-
y2
b2
=1(a>0,b>0)
与椭圆
x2
25
+
y2
9
=1
的共同的左、右焦点,点P是两曲线的一个交点,且△PF1F2为等腰三角形,则该双曲线的渐近线方程是
 

查看答案和解析>>

同步练习册答案