精英家教网 > 高中数学 > 题目详情
A={2,4,x2-5x+9},B={3,x2+ax+a},C={x2+(a+1)x-3,1},a、x∈R,求:
(1)使A={2,3,4}的x的值;
(2)使B=C成立的a、x的值.
【答案】分析:(1)先由A={2,3,4}知x2-5x+9=3,可求x.
(2)利用集合B=C,确定两个集合元素的关系,从而解出a,x.
解答:解:(1)因为A={2,3,4},所以x2-5x+9=3,解得x=3或x=2.
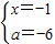
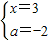
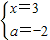
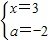
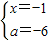
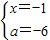
(2)若B=C,则,即,解得
时,集合B={3,1},C={1,3},满足B=C.
时,集合B={3,1},C={1,3},满足B=C.
所以
点评:本题考查了利用集合相等的条件确定元素的关系,求解之后要注意检验.
练习册系列答案
相关习题

科目:高中数学 来源: 题型:

已知a,x∈R,A={2,4,x2-5x+9},B={3,x2+ax+a}.求:
(1)使A={2,3,4}的x值;
(2)使2∈B,B?A的a,x的值.

查看答案和解析>>

科目:高中数学 来源: 题型:

已知集合A={2,4,x2-x},若6∈A,则x=
3或-2
3或-2

查看答案和解析>>

科目:高中数学 来源: 题型:

A={2,4,x2-5x+9},B={3,x2+ax+a},C={x2+(a+1)x-3,1},a、x∈R,求:
(1)使A={2,3,4}的x的值;
(2)使B=C成立的a、x的值.

查看答案和解析>>

科目:高中数学 来源: 题型:

已知a∈R,b∈R,A={2,4,x2-5x+9},B={3,x2+ax+a},C={x2+(a+1)x-3,1}:求
(1)A={2,3,4}的x值;
(2)使2∈B,B?A,求a,x的值;
(3)使B=C的a,x的值.

查看答案和解析>>

科目:高中数学 来源: 题型:

已知a、x∈R,A={2,4,x2-5x+9},B={3,x2+ax+a},求使2∈B,BA的a与x的值.

查看答案和解析>>

同步练习册答案