精英家教网 > 高中数学 > 题目详情
在△ABC中,已知AC=2,BC=3,
(Ⅰ)求sinB的值;
(Ⅱ)求的值.
【答案】分析:(1)利用cosA,求得sinA,进而根据正弦定理求得sinB.
(2)根据cosA小于0判断A为钝角,从而角B为锐角,进而根据sinB求得cosB和cos2B,进而利用倍角公式求得sin2B,最后根据两角和公式求得答案.
解答:(Ⅰ)解:在△ABC中,,由正弦定理,
所以
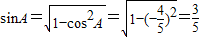
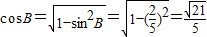
(Ⅱ)解:∵,所以角A为钝角,从而角B为锐角,
==
点评:本小题考查同角三角函数的基本关系式、两角和公式、倍角公式、正弦定理等的知识,考查基本运算能力
练习册系列答案
相关习题

科目:高中数学 来源: 题型:

在△ABC中,已知A、B、C成等差数列,求tg(
A
2
)+
3
tg(
A
2
)tg(
C
2
)+tg(
C
2
)的值.

查看答案和解析>>

科目:高中数学 来源: 题型:

在△ABC中,已知A=45°,a=2,b=
2
,则B等于(  )

查看答案和解析>>

科目:高中数学 来源: 题型:

在△ABC中,已知a=
3
,b=
2
,1+2cos(B+C)=0,求:
(1)角A,B; 
(2)求BC边上的高.

查看答案和解析>>

科目:高中数学 来源: 题型:

在△ABC中,已知A=60°,
AB
AC
=1,则△ABC的面积为
3
2
3
2

查看答案和解析>>

科目:高中数学 来源: 题型:

在△ABC中,已知a=1,b=2,cosC=
34

(1)求AB的长;
(2)求sinA的值.

查看答案和解析>>

同步练习册答案