精英家教网 > 高中数学 > 题目详情

已知为常数),若对于任意都有,则方程在区间内的解为             .

 

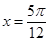
【答案】

【解析】

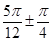
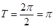
试题分析:三角函数一般先化为的形式,再利用正弦函数的性质来解决问题,本题中可化为的形式,可见函数的周期是,方程在区间内应该有两解,由于对任意都有,说明时取得最小值,故方程在区间内的解为.

考点:三角函数的最值与周期.

 

练习册系列答案
相关习题

科目:高中数学 来源:上海市进才中学2008届高三月考(三)暨期中考试理科数学试题 题型:044

已知函数(a为常数).

(1)若x∈R,求f(x)的最大值及当f(x)取得最大值时自变量x的集合;

(2)若时,|f(x)|<2恒成立,求实数a的取值范围.

查看答案和解析>>

科目:高中数学 来源:2013年全国高中联赛江苏赛区数学预赛模拟训练卷(一)(解析版) 题型:填空题

已知,其中为常数,且.若为常数,则的值__________

 

查看答案和解析>>

科目:高中数学 来源:2015届江苏省高一上学期期中数学试卷(解析版) 题型:填空题

已知函数为常数),若在区间上是单调增函数,则的取值范围是                

 

查看答案和解析>>

科目:高中数学 来源:2013届广东省高二下学期期末考试文科数学试卷(解析版) 题型:填空题

已知函数为常数)。若在区间上是增函数,则的取值范围是      

 

查看答案和解析>>

同步练习册答案