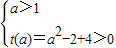
若f(x)=loga(x2-2ax+4)在[a,+∞)上为增函数,则a的取值范围是 .
【答案】
分析:根据二次函数的性质,可得函数t(x)=x
2-2ax+4在[a,+∞)上为增函数,根据复合函数“同增异减”的原则,可得外函数y=log
at也为增函数,根据对数函数单调性与底数的关系,及真数必须大于0,可以构造关于a的不等式组,解不等式组即可求出a的取值范围.
解答:解:∵函数t(x)=x
2-2ax+4在[a,+∞)上为增函数,
∴当f(x)=log
a(x
2-2ax+4)在[a,+∞)上为增函数时

解得1<a<2
故答案为:1<a<2
点评:本题考查的知识点是复合函数的单调性,其中准确理解复合函数单调性“同增异减”的原则,是解答本题的关键.解答中,易忽略x
2-2ax+4>0(真数)在[a,+∞)上恒成立,而错解为a>1