精英家教网 > 高中数学 > 题目详情

已知函数,试研究函数奇偶性,增减性,并求值域.

答案:略
解析:

利用函数性质并结合指数函数有关知识解决.

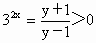
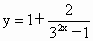
解:,即,所以x¹ 0,即f(x)定义域为(¥0)(0,+¥ )

∴函数f(x)是奇函数.

,则

时,

所以,即

所以f(x)(0,+¥ )上是减函数.

时,

所以

所以f(x)(¥0)上也是减函数.

所以y1y<-1.即函数的值域为(¥ ,-1)(1,+¥ )


提示:

求此函数值域的方法要认真体会并应用,此外还可用综合分析的范围求得值域.


练习册系列答案
相关习题

科目:高中数学 来源:数学教研室 题型:044

已知函数,试研究函数奇偶性,增减性,并求值域.

查看答案和解析>>

科目:高中数学 来源: 题型:解答题

已知函数f(x)=数学公式(常数a>0),且f(1)+f(3)=-2.
(1)求a的值;
(2)试研究函数f(x)的单调性,并比较f(t)与数学公式的大小;
(3)设g(x)=数学公式,是否存在实数m使得y=g(x)有零点?若存在,求出实数m的取值范围;若不存在,请说明理由.

查看答案和解析>>

科目:高中数学 来源:2009-2010学年浙江省温州二中高一(上)期中数学试卷(解析版) 题型:解答题

已知函数f(x)=(常数a>0),且f(1)+f(3)=-2.
(1)求a的值;
(2)试研究函数f(x)的单调性,并比较f(t)与的大小;
(3)设g(x)=,是否存在实数m使得y=g(x)有零点?若存在,求出实数m的取值范围;若不存在,请说明理由.

查看答案和解析>>

科目:高中数学 来源:2010-2011学年广东省茂名市高州市长坡中学高三(上)第二次月考数学试卷(理科)(解析版) 题型:解答题

已知函数f(x)=(常数a>0),且f(1)+f(3)=-2.
(1)求a的值;
(2)试研究函数f(x)的单调性,并比较f(t)与的大小;
(3)设g(x)=,是否存在实数m使得y=g(x)有零点?若存在,求出实数m的取值范围;若不存在,请说明理由.

查看答案和解析>>

科目:高中数学 来源:2011年《龙门亮剑》高三数学(理科)一轮复习:第1章(人教AB通用)(解析版) 题型:解答题

已知函数f(x)=(常数a>0),且f(1)+f(3)=-2.
(1)求a的值;
(2)试研究函数f(x)的单调性,并比较f(t)与的大小;
(3)设g(x)=,是否存在实数m使得y=g(x)有零点?若存在,求出实数m的取值范围;若不存在,请说明理由.

查看答案和解析>>

同步练习册答案