精英家教网 > 高中数学 > 题目详情
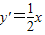
已知曲线的一条切线的斜率为,则切点的横坐标为( )
A.1
B.2
C.3
D.4
【答案】分析:利用导数的几何意义,列出关于斜率的等式,进而得到切点横坐标.
解答:解:已知曲线的一条切线的斜率为,∵=
∴x=1,则切点的横坐标为1,
故选A.
点评:函数y=f(x)在x=x处的导数的几何意义,就是曲线y=f(x)在点P(x,y)处的切线的斜率.应熟练掌握斜率与导数的关系.
练习册系列答案
相关习题

科目:高中数学 来源: 题型:

已知曲线的一条切线的斜率为,则切点的横坐标为        (    )

       A.1      B.2       C.3       D.4

查看答案和解析>>

科目:高中数学 来源:2012年山东省高考模拟预测卷(四)文科数学试卷(解析版) 题型:选择题

已知曲线的一条切线的斜率为,则切点的横坐标为(    )

A.3                  B.2              C.1              D.

 

查看答案和解析>>

科目:高中数学 来源:2011-2012学年广西桂林十八中高三第二次月考试卷理科数学 题型:选择题

已知曲线的一条切线的斜率为,则该切线的切点横坐标为                   

A.                 B.                 C.                D.  

 

查看答案和解析>>

科目:高中数学 来源:2010-2011学年江西省高三上学期入学考试文科数学卷 题型:填空题

已知曲线的一条切线的斜率为2,则该切线的方程为                

 

查看答案和解析>>

科目:高中数学 来源:2010-2011年浙江省高二第二学期5月月考文科数学 题型:填空题

已知曲线的一条切线的斜率为,则切点的纵坐标为   ▲ 

 

查看答案和解析>>

同步练习册答案