精英家教网 > 高中数学 > 题目详情
港口A北偏东30°方向的C处有一检查站,港口正东方向的B处有一轮船,距离检查站为31海里,该轮船从B处沿正西方向航行20海里后到达D处观测站,已知观测站与检查站距离21海里,问检查站C离港口A有多远?

【答案】分析:在△BDC中,先由余弦定理可得,可求cos∠CDB,进而可求sin∠CDB,再在△ACD中,由正弦定理知,即可求AC的距离.
解答:解:在△BDC中,CD=21海里,DB=20海里,BC=31海里,
由余弦定理可得,cos∠CDB==-
∴sin∠CDB=
在△ACD中,∠CAD=60°,sin∠CDB=
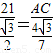
由正弦定理知,

∴AC=24海里
∴船距港口A还有24 海里.
点评:本题考查正弦定理、余弦定理在实际中的应用,解决实际的问题的关键是要把题目中所提供的数据转化成数学图形中的长度(角度),然后根据相应的公式来解决问题.
练习册系列答案
相关习题

科目:高中数学 来源: 题型:

精英家教网港口A北偏东30°方向的C处有一检查站,港口正东方向的B处有一轮船,距离检查站为31海里,该轮船从B处沿正西方向航行20海里后到达D处观测站,已知观测站与检查站距离21海里,问此时轮船离港口A还有多远?

查看答案和解析>>

科目:高中数学 来源: 题型:

港口A北偏东30°方向的C处有一检查站,港口正东方向的B处有一轮船,距离检查站为31海里,该轮船从B处沿正西方向航行20海里后到达D处观测站,已知观测站与检查站距离21海里,问检查站C离港口A有多远?

查看答案和解析>>

科目:高中数学 来源: 题型:

港口A北偏东30°方向的B处有一小岛,A正东方向的C处有一渔船,该渔船距岛B为31海里,现该渔船从C处沿着正西方向航行20海里到D处后出现机械故障最多只能航行12海里,此时测得渔船距离小岛B还有21海里,故只能继续向港口航去,问该渔船最终是否需要港口派船在海上救援?

查看答案和解析>>

科目:高中数学 来源: 题型:

如图所示,港口A北偏东30°方向的点C处有一观测站,港口正东方向的B处有一轮船,测得BC为31海里.该轮船从B处沿正西方向航行20海里后到达D处,测得CD为21海里.问此时轮船离港口A还有多少海里?

查看答案和解析>>

科目:高中数学 来源:2010-2011年东北师大附中、哈师大附中、辽宁实验中学高二第二次考试数学理卷 题型:解答题

本小题满分12分)

港口A北偏东30°方向的C处有一检查站,港口正东方向的B处有一轮船,距离检查站为31海里,该轮船从B处沿正西方向航行20海里后到达D处观测站,已知观测站与检查站距离21海里,问此时轮船离港口A还有多远?

 

查看答案和解析>>

同步练习册答案