精英家教网 > 高中数学 > 题目详情
已知关于x的方程x2-(1-i)x+m+2i=0有实根,则m=   
【答案】分析:设方程的实根为n,代入方程,利用复数相等的充要条件可得方程组,解出即得m.
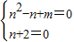
解答:解:设方程的实根为n,则n2-(1-i)n+m+2i=0,即(n2-n+m)+(n+2)i=0,
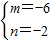
所以,解得
故答案为:-6.
点评:本题考查复数相等的充要条件、复系数二次方程,考查学生的运算能力.
练习册系列答案
相关习题

科目:高中数学 来源: 题型:

已知关于x的方程|x2-6x|=a(a>0)的解集为P,则P中所有元素的和可能是(  )

查看答案和解析>>

科目:高中数学 来源: 题型:

已知关于x的方程x2-2mx+m-3=0的两个实数根x1,x2满足x1∈(-1,0),x2∈(3,+∞),则实数m的取值范围是(  )

查看答案和解析>>

科目:高中数学 来源: 题型:

已知关于x的方程x2-(1-i)x+m+2i=0有实根,则m=
-6
-6

查看答案和解析>>

科目:高中数学 来源: 题型:

已知关于x的方程x2+(2+a)x+1+a+b=0的两根为x1,x2,且0<x1<1<x2,则
2a+3b
3a
的取值范围是(  )

查看答案和解析>>

科目:高中数学 来源: 题型:

已知关于x的方程x2+2px-(q2-2)=0(p,q∈R)无实根,则p+q的取值范围是
(-2,2)
(-2,2)

查看答案和解析>>

同步练习册答案