精英家教网 > 高中数学 > 题目详情
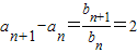
已知数列{an},{bn}满足a1=b1=1,,则数列的前10项的和为( )
A.
B.
C.
D.
【答案】分析:根据等差数列与等比数列的定义结合题中的条件得到数列{an}与{bn}的通项公式,进而表达出的通项公式并且可以证明此数列为等比数列,再利用等比数列前n项和的公式计算出答案即可.
解答:解:由题意可得
所以数列{an}是等差数列,且公差是2,{bn}是等比数列,且公比是2.
又因为a1=1,所以an=a1+(n-1)d=2n-1.
所以=b1•22n-2=22n-2
设cn=,所以cn=22n-2
所以,所以数列{cn}是等比数列,且公比为4,首项为1.
由等比数列的前n项和的公式得:其前10 项的和为
故选D.
点评:解决此类问题的关键是熟练掌握等比数列与等差数列的定义,以及它们的通项公式与前n项和的表示式.
练习册系列答案
相关习题

科目:高中数学 来源: 题型:

已知数列{an}满足:a1<0,
an+1
an
=
1
2
,则数列{an}是(  )

查看答案和解析>>

科目:高中数学 来源: 题型:

已知数列{an}满足:a1=1,nan+1=2(n十1)an+n(n+1),(n∈N*),
(I)若bn=
ann
+1
,试证明数列{bn}为等比数列;
(II)求数列{an}的通项公式an与前n项和Sn.

查看答案和解析>>

科目:高中数学 来源: 题型:

(2013•顺义区二模)已知数列{an}中,an=-4n+5,等比数列{bn}的公比q满足q=an-an-1(n≥2),且b1=a2,则|b1|+|b2|+…+|bn|=(  )

查看答案和解析>>

科目:高中数学 来源: 题型:

已知数列{an}的前n项和Sn=n2+3n+1,则数列{an}的通项公式为
an=
5
      n=1
2n+2
    n≥2
an=
5
      n=1
2n+2
    n≥2

查看答案和解析>>

科目:高中数学 来源: 题型:

已知数列{an}的前n项和Sn=n2+n,那么它的通项公式为an=
2n
2n

查看答案和解析>>

同步练习册答案