精英家教网 > 高中数学 > 题目详情
给出下列四种说法:
①函数y=ax(a>0且a≠1)与函数y=logaax(a>0且a≠1)的定义域相同;
②函数y=x3与y=3x的值域相同;
③函数y=+与y=都是奇函数;
④函数y=(x-1)2与y=2x-1在区间[0,+∞)上都是增函数.
其中正确的序号是    (把你认为正确叙述的序号都填上).
【答案】分析:①中两函数的定义域均为x>0;
②中函数y=x3的值域为R,y=3x的值域(0,+∞);
③中两个函数都可以先进行化简,在利用奇偶性的定义看f(-x)和f(x)的关系即可;
④中易判断函数y=(x-1)2的单调增区间是[1,+∞).
解答:解:①中两函数的定义域均为x>0,故①正确;
②中函数y=x3的值域为R,y=3x的值域(0,+∞),故②错误;
③中,所以f(-x)=-f(-x),为奇函数,
,y=是奇函数,y=2x+2-x+2是偶函数,所以y=是奇函数,故③正确;
④函数y=(x-1)2在[1,+∞)上单增,故④错误.
故答案为:①③
点评:本题考查函数的定义域、值域、单调性和奇偶性等性质,是基础知识、基本题型的考查.
练习册系列答案
相关习题

科目:高中数学 来源: 题型:

给出下列四种说法:
①函数y=ax(a>0且a≠1)与函数y=logaax(a>0且a≠1)的定义域相同;
②函数y=x3与y=3x的值域相同;
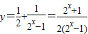
③函数y=
1
2
+
1
2x-1
与y=
(1+2x)2
x•2x
都是奇函数;
④函数y=(x-1)2与y=2x-1在区间[0,+∞)上都是增函数.
其中正确的序号是
 
(把你认为正确叙述的序号都填上).

查看答案和解析>>

科目:高中数学 来源: 题型:

给出下列四种说法:
①函数y=0.2-x的反函数是y=log5x;
1-2sin10°cos10°
+
1-sin2190°
=sin10°

③角α的终边经过点P(-5,12),则sinα+2cosα=
2
13

④若sinx+cosx=-
1
5
(0<x<π),则tanx=-
3
4

其中正确结论的序号是
①③④
①③④

查看答案和解析>>

科目:高中数学 来源: 题型:

给出下列四种说法:
①3,3,4,4,5,5,5的众数是5,中位数是4,极差是2;
②频率分布直方图中每一个小长方形的面积等于该组的频率;
③频率分布表中各小组的频数之和等于1
④如果一组数中每一个数减去同一个非零常数,则平均数改变,标准差不变
其中说法正确的序号依次是
①②④
①②④

查看答案和解析>>

科目:高中数学 来源: 题型:

给出下列四种说法:
(1)方程y2-x2=0表示两条直线:y+x=0,y-x=0;
(2)平面直角坐标系中抛物线y2=-x的开口向左且准线方程为x=-
1
2

(3)平面直角坐标系中倾斜角为0°的直线只有一条即x轴;
(4)双曲线x2-y2=1与y2-x2=4有相同的渐近线.
其中正确说法的个数为(  )

查看答案和解析>>

科目:高中数学 来源:2013届度黑龙江大庆实验中学高二上学期期末考试理科数学试卷 题型:填空题

给出下列四种说法:

① 3,3,4,4,5,5,5的众数是5,中位数是4,极差是2;

②频率分布直方图中每一个小长方形的面积等于该组的频率;

③频率分布表中各小组的频数之和等于1

④如果一组数中每一个数减去同一个非零常数,则平均数改变,标准差不变

其中说法正确的序号依次是      

 

查看答案和解析>>

同步练习册答案