设函数f(x)=x|x|+bx+c,给出四个命题:
①c=0时,y=f(x)是奇函数;
②b=0,c>0时,方程f(x)=0只有一个实数根;
③y=f(x)的图象关于(0,c)对称;
④方程f(x)=0至多有两个实数根;
上述命题中正确的命题的序号是 .
【答案】
分析:①c=0,f(-x)=-x|-x|-bx=-x|x|-bx=-f(x),由奇函数的定义判断
②b=0,c>0,代入可得f(x)=x|x|+c=

,令f(x)=0,通过解方程判断
③根据中心对称的条件进行证明是否满足f(2c-x)=f(-x)
④举出反例如c=0,b=-2
解答:解:①c=0,f(x)=x|x|+bx,f(-x)=-x|-x|+b(-x)=-f(x),故①正确
②b=0,c>0,f(x)=x|x|+c=

令f(x)=0可得

,故②正确
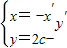
③设函数y=f(x)上的任意一点M(x,y)关于点(0,c)对称的点N(x′,y′),则

.代入y=f(x)可得2c-y′=-x′|-x′|-bx′+c⇒y′=x′|x′|+bx′+c故③正确
④当c=0,b=-2,f(x)=x|x|-2x=0的根有x=0,x=2,x=-2故④错误
故答案为:①②③
点评:本题综合考查了函数的奇偶性、对称性(中心对称的证明)及函数图象在解题中的运用,要求考生熟练掌握函数的性质,并能灵活运用性质求解.