精英家教网 > 高中数学 > 题目详情
如图,已知圆,经过椭圆(a>b>0)的右焦点F及上顶点B,过椭圆外一点(m,0)(m>a)倾斜角为的直线1交椭圆于C,D两点
(1)求椭圆的方程
(2)若右焦点F在以线段CD为直径的圆E的内部,求m的取值范围.
【答案】分析:(1)依据题意可求得F,B的坐标,求得c和b,进而求得a,则椭圆的方程可得.
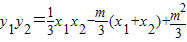
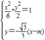
(2)设出直线l的方程,与椭圆方程联立消去,利用判别式大于0求得m的范围,设出C,D的坐标,利用韦达定理表示出x1+x2
x1x2,进而利用直线方程求得y1y2,表示出,进而求得的表达式,利用F在圆E的内部判断出<0求得m的范围,最后综合可求得md 范围.
解答:解:(1)过点F、B,
∴F(2,0),
故椭圆的方程为
(2)直线l:

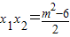
消y得2x2-2mx+(m2-6)=0
由△>0⇒

设C(x1,y1)、D(x2,y2),则x1+x2=m,

∵F在圆E的内部,∴

点评:本题主要考查了直线与圆锥曲线的综合问题.考查了学生综合运用所学知识解决实际问题的能力.
练习册系列答案
相关习题

科目:高中数学 来源: 题型:

如图,F1,F2为椭圆C:
x2
a2
+
y2
b2
=1
(a>b>0)的左、右焦点,D,E是椭圆的两个顶点,椭圆的离心率e=
3
2
S△DEF2=1-
3
2
.若点M(x0,y0)在椭圆C上,则点N(
x0
a
y0
b
)称为点M的一个“椭点”.直线l与椭圆交于A,B两点,A,B两点的“椭点”分别为P,Q,已知以PQ为直径的圆经过坐标原点O.
(1)求椭圆C的标准方程;
(2)△AOB的面积是否为定值?若为定值,试求出该定值;若不为定值,请说明理由.

查看答案和解析>>

科目:高中数学 来源:2012届重庆市“名校联盟”高二第一次联考文科数学试卷(解析版) 题型:解答题

如图,已知椭圆C的中心在原点O,焦点在轴上,长轴长是短轴

长的2倍,且经过点M. 平行于OM的直线轴上的截距为并交椭

圆C于A、B两个不同点.

(1)求椭圆C的标准方程;

(2)求的取值范围;

y

 
(3)求证:直线MA、MB与轴始终围成一个等腰三角形.

 

查看答案和解析>>

科目:高中数学 来源: 题型:

如图,已知的面积为.设,并且以为中心、为焦点的椭 圆经过点.当取得最小值时,则此椭圆的方程为      .

 

查看答案和解析>>

同步练习册答案