精英家教网 > 高中数学 > 题目详情
设数列{an}是有穷等差数列,给出下面数表:上表共有n行,其中第1行的n个数为a1,a2,a3,…,an,从第二行起,每行中的每一个数都等于它肩上两数之和.记表中各行的数的平均数(按自上而下的顺序)分别为b1,b2,…,bn
(1)求证:数列b1,b2,…,bn成等比数列;
(2)若ak=2k-1(k=1,2,…,n),求和
【答案】分析:(1)要证数列b1,b2,…,bn成等比数列,只需证为常数即可,所以用数列{an}中的项表示{bn}中项,再求

(2)先由(1)和ak=2k-1(k=1,2,…,n),求数列{bn}的通项公式,再代入,再用裂项相消求和即可.
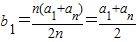
解答:解:(1)由题设易知,
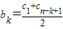
设表中的第k(1≤k≤n-1)行的数为c1,c2,…,cn-k+1,显然c1,c2,…,cn-k+1成等差数列,则它的第k+1行的数是c1+c2,c2+c3,…,cn-k+cn-k+1也成等差数列,它们的平均数分别是,bk+1=c1+cn-k+1,于是
故数列b1,b2,…,bn是公比为2的等比数列.
  (2)由(1)知,
故当ak=2k-1时,bk=n•2k-1,ak•bk=n(2k-1)•2k-1(1≤k≤n,k∈N*).
于是=

则S=1×2+3×21+5×22+…+(2n-1)•2n-1①2S=1×21+3×22+…+(2n-3)•2n-1+(2n-1)•2n
①-②得,-S=1×2+2(21+22+…+2n-1)-(2n-1)•2n
化简得,S=(2n-1)•2n-2n+1+3,
=n(2n-1)•2n-n•2n+1+3n.
点评:本题考查了等比数列的证明,以及裂项相消求和,做题时需认真观察,找出正确方法.
练习册系列答案
相关习题

科目:高中数学 来源: 题型:

设数列{an}是有穷等差数列,给出下面数表:上表共有n行,其中第1行的n个数为a1,a2,a3,…,an,从第二行起,每行中的每一个数都等于它肩上两数之和.记表中各行的数的平均数(按自上而下的顺序)分别为b1,b2,…,bn
(1)求证:数列b1,b2,…,bn成等比数列;
(2)若ak=2k-1(k=1,2,…,n),求和
nk=1
akbk
精英家教网

查看答案和解析>>

科目:高中数学 来源: 题型:

设数列{an}是有穷等差数列,给出下面数表:
a1  a2    a3     …an-1  an 第1行
a1+a2   a2+a3   …an-1+an  第2行


…第n行
上表共有n行,其中第1行的n个数为a1,a2,a3…an,从第二行起,每行中的每一个数都等于它肩上两数之和.记表中各行的数的平均数(按自上而下的顺序)分别为b1,b2,b3…bn
(1)求证:数列b1,b2,b3…bn成等比数列;
(2)若ak=2k-1(k=1,2,…,n),求和
nk=1
akbk

查看答案和解析>>

科目:高中数学 来源:湖南省月考题 题型:解答题

设数列{an}是有穷等差数列,给出下面数表:
上表共有n行,其中第1行的n个数为a1,a2,a3…an,从第二行起,每行中的每一个数都等于它肩上两数之和.记表中各行的数的平均数(按自上而下的顺序)分别为b1,b2,b3…bn. (1)求证:数列b1,b2,b3…bn成等比数列;
(2)若ak=2k﹣1(k=1,2,…,n),求和

查看答案和解析>>

科目:高中数学 来源:2012-2013学年山东省聊城市某重点中学高二(上)第四次模块检测数学试卷(理科)(解析版) 题型:解答题

设数列{an}是有穷等差数列,给出下面数表:
a1  a2    a3     …an-1 an 第1行
a1+a2   a2+a3   …an-1+an  第2行


…第n行
上表共有n行,其中第1行的n个数为a1,a2,a3…an,从第二行起,每行中的每一个数都等于它肩上两数之和.记表中各行的数的平均数(按自上而下的顺序)分别为b1,b2,b3…bn
(1)求证:数列b1,b2,b3…bn成等比数列;
(2)若ak=2k-1(k=1,2,…,n),求和

查看答案和解析>>

科目:高中数学 来源:2011-2012学年湖南省株洲市攸县长鸿学校高三(上)第二次月考数学试卷(理科)(解析版) 题型:解答题

设数列{an}是有穷等差数列,给出下面数表:
a1  a2    a3     …an-1 an 第1行
a1+a2   a2+a3   …an-1+an  第2行


…第n行
上表共有n行,其中第1行的n个数为a1,a2,a3…an,从第二行起,每行中的每一个数都等于它肩上两数之和.记表中各行的数的平均数(按自上而下的顺序)分别为b1,b2,b3…bn
(1)求证:数列b1,b2,b3…bn成等比数列;
(2)若ak=2k-1(k=1,2,…,n),求和

查看答案和解析>>

同步练习册答案