精英家教网 > 高中数学 > 题目详情

求经过点M(3,-1),且与圆相切于点N(1,2)的圆的方程.

答案:略
解析:

解:把圆C的方程化成标准形式,得

C的圆心坐标是(13),半径长是

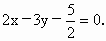
又点N(12),故CN所在的直线方程为

即为x2y5=0.             ①

又已知M(3,-1),可求出MN的中点E的坐标为如图所示威者所示.而可知MN的垂直平分线的斜率

MN的垂直平分线的方程为

即为             ②

由①,②解得这就是所求圆的圆心坐标F

又设所求圆的半径为r,则

∴经过点M(3,-1),且与圆相切于点N(12)的圆的方程是

由于两圆切于点N,可知所求圆的圆心应在CN所在的直线上;又NM都是所求圆上的点,可知其垂直平分线必经过圆的圆心.据此可建立关系式求解.


练习册系列答案
相关习题

科目:高中数学 来源: 题型:

求经过点M(-2,1)且与A(-1,2),B(3,0)距离相等的直线方程.

查看答案和解析>>

科目:高中数学 来源: 题型:044

求经过点M(3,-1),且与圆相切于点N(12)的圆的方程.

查看答案和解析>>

科目:高中数学 来源: 题型:044

求经过点M(3,-1),且与圆C相切于点N(1,2)的圆的方程.

查看答案和解析>>

科目:高中数学 来源: 题型:解答题

求经过点M(-2,1)且与A(-1,2),B(3,0)距离相等的直线方程.

查看答案和解析>>

同步练习册答案