精英家教网 > 高中数学 > 题目详情
一个椭圆长轴的长度、短轴的长度和焦距成等差数列,(1)求椭圆的离心率;(2)若椭圆的焦点在x轴上且短轴长为8,求椭圆的标准方程.
【答案】分析:(1)根据椭圆基本量的平方关系和等差中项列式,解关于a、c的方程得c=a,即可得到该椭圆的离心率;
(2)设出椭圆标准方程,由b=4结合(1)的结论算出a=3,从而得到该椭圆的标准方程.
解答:解:(1)∵长轴长、短轴长和焦距成等差数列
∴2b=a+c,平方得4(a2-c2)=(a+c)2
化简得5c2+2ac-3a2=0,解之得c=a
因此,该椭圆的离心率
(2)设椭圆方程为
由(1)得2b=8,得b=4=
结合c=a,解得a=5
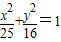
∴椭圆的标准方程是
点评:本题给出椭圆的长轴长、短轴长和焦距成等差数列,并依此在短轴长为8的情况下求椭圆的标准方程.着重考查了椭圆的标准方程与简单几何性质、等差数列等知识,属于中档题.
练习册系列答案
相关习题

科目:高中数学 来源: 题型:

若一个椭圆长轴的长度、短轴的长度和焦距成等差数列,则该椭圆的离心率是(  )
A、
4
5
B、
3
5
C、
2
5
D、
1
5

查看答案和解析>>

科目:高中数学 来源: 题型:

一个椭圆长轴的长度、短轴的长度和焦距成等差数列,(1)求椭圆的离心率;(2)若椭圆的焦点在x轴上且短轴长为8,求椭圆的标准方程.

查看答案和解析>>

科目:高中数学 来源: 题型:

若一个椭圆长轴的长度、短轴的长度和焦距成等差数列,则该椭圆的离心率是
3
5
3
5

查看答案和解析>>

科目:高中数学 来源:2014届福建省漳州市高二上学期期末考试理科数学卷(解析版) 题型:选择题

若一个椭圆长轴的长度、短轴的长度和焦距成等差数列,则该椭圆的离心率是(    )

A.              B.               C.               D.

 

查看答案和解析>>

科目:高中数学 来源:2011年广东省揭阳市高二上学期期末检测数学理卷 题型:选择题

若一个椭圆长轴的长度、短轴的长度和焦距成等差数列,则该椭圆的离心率是……………… (      )

A、         B、            C、           D、

 

查看答案和解析>>

同步练习册答案