设数列{an}的前n项和为Sn,且Sn=2n-an(n∈N*).
(1)求a1,a2,a3,a4的值;
(2)猜想an的表达式,并加以证明.
【答案】
分析:(1)根据S
n=2n-a
n,利用递推公式,分别令n=1,2,3,4,求出a
1,a
2,a
3,a
4,
(2)由(1)猜想

(n∈N
*).利用a
n=S
n-S
n-1,整理出a
n的递推式,进而构造等比数列{a
n-2}中求出a
n.
解答:解:(1)因为S
n=2n-a
n,S
n=a
1+a
2+…+a
n,n∈N
*(1分)
所以,当n=1时,有a
1=2-a
1,解得

; (2分)
当n=2时,有a
1+a
2=2×2-a
2,解得

; (3分)
当n=3时,有a
1+a
2+a
3=2×3-a
3,解得

; (4分)
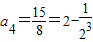
当n=4时,有a
1+a
2+a
3+a
4=2×4-a
4,解得

.(5分)
(2)猜想

(n∈N
*) (9分)
由S
n=2n-a
n(n∈N
*),得S
n-1=2(n-1)-a
n-1(n≥2),(10分)
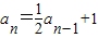
两式相减,得a
n=2-a
n+a
n-1,即

(n≥2).(11分)
两边减2,得

,(12分)
所以{a
n-2}是以-1为首项,

为公比的等比数列,
故

,(13分)
即

(n∈N
*).(14分)
点评:本题主要考查数列递推关系式的应用,考查归纳推理及等比数列的通项公式.属于中档题.